導熱微分方程和傅立葉定律
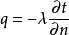
傅立葉定律是在實驗的基礎上建立起來的,它指出,導熱熱流密度的大小與溫度梯度的絕對值成正比,其方向與溫度梯度的方向相反
導熱微分方程(1-1)
因為熱量傳遞方向與溫度梯度的方向相反,所以等式中有一負號,傅立葉定律的本質是說,在有溫度差的物系內部,熱流總是朝著溫度降低的方向。
當給定導熱面上熱流密度相等時
導熱微分方程(1-2)
傅立葉定律揭示了連續溫度場內熱流密度與溫度梯度的關係。對於一維穩態導熱問題可直接利用傅立葉定律積分求解,求出導熱熱流量。但由於傅立葉定律未能揭示各點溫度與其相鄰點溫度之間的關係,以及此刻溫度與下一時刻溫度的聯繫,對於多維穩態導熱和一維及多維非穩態導熱問題都不能直接利用傅立葉定律積分求解。導熱微分方程揭示了連續物體內的溫度分布與空間坐標和時間的內在聯繫,使上述導熱問題求解成為可能。
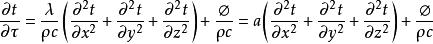
根據傅立葉定律和能量守恆方程,可以推得直角坐標下的導熱微分方程
導熱微分方程(1-3)
導熱微分方程
導熱微分方程
導熱微分方程
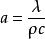
導熱微分方程式中,a為熱擴散率,又稱導溫係數,,/s;為單位時間內、單位體積中內熱源生成的熱量,W/。
導熱微分方程是對導熱物體內部溫度場內在規律的描述,適用於所有導熱過程,要獲得特定情況下導熱問題的解,必須附加該情況下的限制條件,這些條件稱為定解條件。定解條件包括時間條件和邊界條件。所以,導熱問題完整的數學描述包括導熱微分方程和相應的定解條件。時間條件給定某一時刻導熱物體內的溫度分布,稱為初始條件。穩態導熱時,導熱物體內的溫度分布不隨時間變化,初始條件沒有意義,所以非穩態導熱才有初始條件。邊界條件是指導熱物體邊界處的溫度或表面傳熱情況。邊界條件通常分為三類:
(1)第一類邊界條件:給定物體邊界上任何時刻的溫度分布。
導熱微分方程(1-4)
(2)第二類邊界條件:給定物體邊界上的熱流密度分布。
導熱微分方程(1-5)
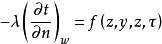
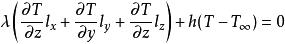
導熱微分方程(3)第三類邊界條件:給定物體邊界與周圍流體間的表面傳熱係數h及流體的溫度。
導熱微分方程(1-6)
以上三類邊界條件之間有一定的聯繫。當物體邊界溫度等於流體溫度,第三類邊界條件變成第一類邊界條件。邊界面的表面傳熱係數h為零,第三類邊界條件變成特殊的第二類邊界條件——物體邊界面絕熱。
導熱係數
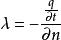
導熱係數是物質的一個物性參數,表示物質導熱能力的大小。由式(1-1)得
導熱微分方程即導熱係數的數值等於溫度梯度為1K/m時,單位時間內通過單位面積的導熱量。不同物質的導熱係數彼此不同,即使是同一物質,導熱係數的值也隨壓力、溫度以及該物質內部結構、溫度等因素而變化。物質的導熱係數通常由實驗確定。
導熱微分方程
導熱微分方程
導熱微分方程
導熱微分方程
導熱微分方程
導熱微分方程各種物質導熱係數的範圍為:氣體0.006~0.6W/;液體0.07~0.7W/;金屬6~470W/;保溫與建築材料0.02~3W/。W/的材料,常稱作絕熱保溫材料,如石棉、膨脹珍珠岩、玻璃纖維製品等。
金屬材料的導熱係數比非金屬材料高,純金屬的導熱係數又比合金高,各種純金屬中以銀的導熱係數為最高。通常,氣體的導熱係數為最小,而且在較大的壓力範圍內,氣體的導熱係數只是溫度的函式,與壓力無關。除液態金屬,液體材料中的水的導熱係數是最大的。
各種材料的導熱係數隨溫度變化的規律不盡相同。純金屬的導熱係數一般只隨溫度升高而下降。氣體的導熱係數隨溫度的升高而增大。除水和甘油外,一般液體的導熱係數一般隨溫度的升高而減小。保溫與建築材料的導熱係數大多數隨溫度升高而增大,還與材料的結構、孔隙度、密度和濕度有關。
在一定溫度範圍內,大多數工程材料的導熱係數可以近似認為是溫度的線性函式,即
導熱微分方程
導熱微分方程式中,為0℃時按上式計算的導熱係數(一般,它並非0℃時的實際值);b為由實驗確定的常數。
初始條件和邊界條件
熱傳導方程式中有對時間的一階偏導,因此,在求非穩態導熱時要有初始條件,常用的初始條件為:
導熱微分方程(在V內) (1-7)
導熱微分方程式中,——t=0時的溫度分布狀態;
V——體域。
傳熱問題中常見的幾種邊界條件如下:
導熱微分方程(1)給出溫度值的邊界:
導熱微分方程
導熱微分方程(對於t>0,在上) (1-8)
導熱微分方程(2)給出熱通量Q的邊界:
導熱微分方程
導熱微分方程(在上) (1-9)
導熱微分方程式中,——邊界外法向的方向餘弦。
導熱微分方程(3)給出熱損失的邊界:
導熱微分方程
導熱微分方程(在上) (1-10)
式中,h——放熱係數;
導熱微分方程——環境溫度。
