中文名稱:定向劑量當量
英文名稱:directional dose equivalent
定義: 相應於測量點處的擴展場在ICRU球內、指定方向Ω的半徑深度d 處產生的劑量當量。對弱貫穿輻射,推薦d=0.07mm,此時H'(d,Ω)記為H'(0.07,Ω)。對強貫穿輻射,推薦d=10mm,此時H'(d,Ω)記為H'(10,Ω)。。
單位: J/ kg;專用名:Sv:
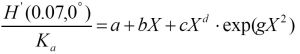
能量從10kev~250keV的光子定向劑量當量H'(0.07,0°)與自由空氣比釋動能Ka的關係可按下式估計:

式中:H'(0.07, 0°)/ Ka的單位是Sv /Gy;X=ln(E/ E0),E為光子能量(keV),E0=9.85keV;a =0.9505,b=0.09432,c=0.2302,d=5.082,g= -0.6997;角度單位為弧度。
自由空氣比釋動能Ka到定向劑量當量H'(0.07,0°)的轉換係數以及角度依賴係數見表1:
| 光子能量 | H'(0.07, 0°)/Ka |
| MeV | Sv /Gy |
| 0.010 | 0.95 |
| 0.015 | 0.99 |
| 0.020 | 1.05 |
| 0.030 | 1.22 |
| 0.040 | 1.41 |
| 0.050 | 1.53 |
| 0.060 | 1.59 |
| 0.080 | 1.61 |
| 0.100 | 1.55 |
| 0.150 | 1.42 |
| 0.200 | 1.34 |
| 0.300 | 1.31 |
| 0.400 | 1.26 |
| 0.500 | 1.23 |
| 0.600 | 1.21 |
| 0.800 | 1.19 |
| 1 | 1.17 |
| 1.5 | 1.15 |
| 2 | 1.14 |
| 3 | 1.13 |
| 4 | 1.12 |
| 5 | 1.11 |
| 6 | 1.11 |
| 8 | 1.11 |
| 10 | 1.10 |
