簡介
信道是指通信的通道,是信號傳輸的媒介。信息是抽象的,但傳送信息必須通過具體的媒質。例如二人對話,靠聲波通過二人間的空氣來傳送,因而二人間的空氣部分就是信道。郵政通信的信道是指運載工具及其經過的設施。無線電話的信道就是電波傳播所通過的空間,有線電話的信道是電纜。每條信道都有特定的信源和信宿。在多路通信,例如載波電話中,一個電話機作為發出信息的信源,另一個是接收信息的信宿,它們之間的設施就是一條信道,這時傳輸用的電纜可以為許多條信道所共用。在理論研究中,一條信道往往被分成信道編碼器、信道本身和信道解碼器。人們可以變更編碼器、解碼器以獲得最佳的通信效果,因此編碼器、解碼器往往是指易於變動和便於設計的部分,而信道就指那些比較固定的部分。但這種劃分或多或少是隨意的,可按具體情況規定。例如數據機和糾錯編解碼設備一般被認為是屬於信道編碼器、解碼器的,但有時把含有數據機的信道稱為調製信道;含有糾錯編碼器、解碼器的信道稱為編碼信道。
按照傳輸媒質來劃分,信道可以分為有線信道、無線信道和存儲信道三類。
有線信道以導線為傳輸媒質,信號沿導線進行傳輸,信號的能量集中在導線附近,因此傳輸效率高,但是部署不夠靈活。這一類信道使用的傳輸媒質包括用電線傳輸電信號的架空明線、電話線、雙絞線、對稱電纜和同軸電纜等等,還有傳輸經過調製的光脈衝信號的光導纖維。
無線信道主要有以輻射無線電波為傳輸方式的無線電信道和在水下傳播聲波的水聲信道等。無線電信號由發射機的天線輻射到整個自由空間上進行傳播。不同頻段的無線電波有不同的傳播方式,主要有:地波傳輸、天波傳輸、視距傳輸。無線信道在自由空間(對於無線電信道來說是大氣層和太空,對於水聲信道來說是水體)上傳播信號,能量分散,傳輸效率較低,並且很容易被他人截獲,安全性差。但是通過無線信道的通信擺脫了導線的束縛,因此無線通信具有有線通信所沒有的高度靈活性
存儲信道,在某種意義上,磁帶、光碟、磁碟等數據存儲媒質也可以被看作是一種通信信道。將數據寫入存儲媒質的過程即等效於發射機將信號傳輸到信道的過程,將數據從存儲媒質讀出的過程即等效於接收機從信道接收信號的過程。
數據編碼模型
在磁帶、磁碟或光碟上存儲數據的過程,等效於在電話或無線信道上傳送數據;回讀過程以及在存儲系統中恢復所存儲的數據的信號處理,等效於在電話和無線通信系統中恢復傳送信號。在存儲系統中,電子元器件產生的加性噪聲和來自鄰近軌道的磁性干擾,都會影響數據在數據通道中的傳輸。通過對數據進行編碼而引入附加冗餘度,以糾正回讀信號的差錯,成為系統設計必須考慮的一個重要環節。這已在磁碟驅動器及冗餘磁碟陣列中得到驗證。
在存儲系統中,數據電纜及存儲介質構成了存儲信道。數據經編碼(目前一般採用密勒碼及NRZI調製)後,送入磁頭並寫入磁介質;回讀則是上述過程的逆過程。如果在編碼中採用高性能的Turbo碼,對於磁碟驅動器的數據傳輸可靠性會有較大的提高。
RAID的存儲信道
RAID的存儲信道功能模型RAID面向主機的界面是智慧型化的快速大容量外存系統。在存儲信道上,智慧型化主要體現在系統具有容錯功能,即無需主機的介入自動檢查糾正錯誤,保證系統與主機間有效可靠地傳輸數據。當主機請求寫人,主機送來的寫人數據信息被分割成一系列數據元組,每一數據元組又編碼生成存儲元組,一系列存儲元組被調度交叉存放在各磁碟單元。當主機請求讀出,這些存儲元組按相應調度策略取出後進人校驗或糾錯處理又變成一系列數據元組,經同步後傳送到主機,即實現了數據的讀出。從資訊理論來看,主機寫人RAID和從它讀出信息組成一存儲信道,其信道功能模型如圖所示。
數據的分割與同步
主機要寫入RAID的數據信息M,分割成一系列k個數據元組m,m,…,m,每一數據元m(i=1,2,…,k)可以由位、位元組、扇段或多扇段塊數據組成,它表示對主機請求的分割因子。分割粒度是這個因子與數據元組的分量數k的乘積。它是對主機服務請求分割的基本單位。最佳的數據分割方法應該與主機的服務請求相適應。對於較大服務請求,一般應採取較大粒度的塊分割,對較小服務請求塊,一般應使分割粒度較小。同時還應考慮讀出數據的同步問題,塊大了同步等待時間長,塊小了等待數據存取回響開銷大。
在一般RAID系統中,為便於控制,常採用定長數據分割。我們用L維列向量m.來描述數據元。k個連續的數據元編成一組,用廣義k維行向量m=(m,m,…,m)表示。當數據分割是按位方式時,m是k維行向量,當它是L位長塊時,m是L×k矩陣。作為寫入的數據分割的逆過程,數據讀出的同步則是將一系列的k數據元組變成完整的數據信息送給主機。它與數據分割粒度有關,同時還與多磁碟的同步異步存取機制有關。
存儲元的生成、檢驗與糾錯
為提高系統可靠性,系統設定了冗餘磁碟容量存放冗餘信息元,以便在出錯情況下檢出並糾正錯誤,實現容錯功能。
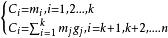
存儲信元的生成是將k數據元向量m=(m,m,…,m)轉成n存儲信元向量C=(c,c,…,c)的過程。一般常採用系統線性編碼,即存儲數據元向量C中的前k分量為數據信息元,後n-k=r分量為冗餘信息元。冗餘信息元由數據信息元的線性組合產生。
存儲信道上式是矩陣運算表示存儲元的生成過程。值得注意的是,存儲元c通常是多位(L>i)的因而存儲元的生成是多重並行的矩陣運算。其重數應是L的因子,最大可等於L,它表示傳輸中處理的並行程度。由於組成系統的磁碟設備可能出現設備故障或數據誤碼,存儲信道中將不可避免地出現噪音元,我們以e表示。它與存儲信元一起進入檢驗功能單元,由於合法的存儲信元組內各元間滿足一定的模2運算關係,由此可檢出e是否存在。當e為非0元時,將按最大似然原理自動糾錯或採用其它出錯控制方式改正錯誤。改正後還需寫入相應的磁碟單元。
在RAID結構中,除鏡像盤(idskmirroring)容錯外,主要有兩種糾錯方式:其一,採用糾錯碼(如Hamming碼)自動糾錯,由於它是根據最大似然原理糾錯,常會出現錯糾現象,。其二,利用磁碟本身的ECC碼指示和冗餘盤檢錯相結合共同糾錯。這是一種較為適合的方式。磁碟記錄帶有檢查碼(ECC),在傳統磁碟系統中,出現ECC錯大多是用重讀方式來消除誤碼。RAID結構中容許一定量的誤碼,可通過出現誤碼磁碟的ECC檢錯指示和冗餘一致校驗來糾正誤碼。
磁碟調度
磁碟調度是將n存儲元組C=(c,c,…,c)按合適策略啟動並送人相應磁碟單元或從多磁碟中按相應策略讀出存儲元組C。對於同步工作方式調度很簡單,而對於異步方式,首先要考慮的是調度的次序,應以存取時間極小為目標。其次,使冗餘信元的分布均勻,以保證如下所述的負荷平衡。
通常的系統採用定長數據分割,而寫入數據信息往往不可能分成k數據元組的整數倍,出現數據存儲元組的不完全寫人,如最後一組只有j(j≤k)個數據元,在生成冗餘信息元時空的數據元以“0”論,寫人時只寫有效數據信息元和冗餘信息元。此外,當需改寫其一個或幾個數據信息元時,先應將原相應數據信息元和冗餘信息元讀出,將原數據信息元和要寫入的數據信息元同時按生成矩陣要求與冗餘信息元運算形成新的冗餘信息。
然後將新數據信息元和冗餘信息元寫入進去即所謂“讀一改一寫”,由於這些情況帶來的存儲信元中的數據信息元和冗餘信息元讀寫機會不等,如按存儲信元與磁碟單元固定的對應關係調度磁碟,即c.固定存放在第i磁碟,將會出現嚴重的磁碟工作負荷不平衡現象。因而要採用最佳化調度策略,使冗餘信息元分布均勻,各磁碟負荷趨於平衡。

