正文
天線有效面積
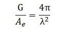
天線有效面積表征接收天線接受空間電磁波能力的基本參數。天線有效面積等於天線輸出端的功率P與入射的平面波的射電流量密度S的比值,可表示為A=P/S。它是所接收電磁波的方向和頻率的函式,表示接收天線在這個頻率上吸收來自任何特定方向的輻射,並把功率送到輸出端的能力,也稱為有效口徑。天線有效面積與天線增益G有如下的關係:
天線有效面積式中λ為所接收電磁波的波長。對於無方向性天線和半波振子天線有效面積分別為0.08λ2和 0.13λ2。對於一個無損耗的天線若能無反射地吸收所有入射電磁波,則實際口徑面積即為其有效面積。對於拋物面天線或其他類型的面天線,天線的最大有效面積與實際口徑面積之比,稱為天線的表面利用係數。拋物面天線的最大有效面積一般為實際口徑面積的50~60%。
