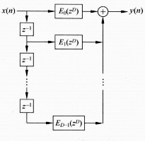
採用多相濾波結構,可利用多個階數較低的濾波來實現原本階數較高的濾波,而且每個分支濾波器處理的數據速率僅為原數據速率的I/D,這為工程上高速率實時信號處理提供了實現途徑。
多相濾波結構
多相濾波過程是,按照相位均勻劃分把數字濾波器的系統函式H(z)分解成若干個具有不同相位的組,形成多個分支,在每個分支上實現濾波。
多相濾波結構的隨機相位與載波同步1.9 多相濾波與信道化處理1.9.1 橫向濾波器的多相結構1.9.2 信號的均勻信道化1.9.3 基於多相濾波器組的信道化...參考文獻第4章 維納濾波原理及自適應算法4.1 自適應橫向濾波器及其學習...
內容簡介 圖書目錄導通。扼流圈L0與L1是作為儲能電感使用並與相接的電容組成LC濾波電路...兩相甚至多相的設計。就是一個兩相供電的示意圖,很容易看懂,就是兩個單相電路...無法滿足CPU的需要,所以又出現了三相甚至更多相供電電路。但是,這也帶...
簡介 分類 電容的實時處理結構——多相濾波結構 七、取樣率變換的多級實現 八、帶通...、數字混頻正交變換 四、基於多相濾波的數字正交變換 第三章 軟體...、數字濾波器組與信道化基本概念 三、覆信號的多相濾波信道化接收機數學模型...
基本信息 內容簡介 目錄、線性預測、自適應濾波以及功率譜估計。《國外電子與通信教材系列·數位訊號...濾波算法7.3.1 線上性濾波中使用DFT7.3.2 長數據序列濾波7.4 利用DFT對信號進行頻率分析7.5 離散餘弦變換...
處理的知識,主要學習多速率數位訊號處理、線性預測、自適應濾波以及功率譜估計...7.2.3 DFT的其他性質7.3 基於DFT的線性濾波算法7.3.1 線上性濾波中使用DFT7.3.2 長數據序列濾波7.4 利用DFT對信號...
出版信息 內容簡介 目錄脈動性電壓的頻率比輸入交流電壓提高了一倍,這一頻率的提高有利於濾波電路的濾波。3、在電源電路的三種整流電路中,只有全波整流電路要求電源變壓器...多相電路 帶平衡電抗器的雙反星型可控整流電路 1)對於小功率整流器常採用...
總結 分類方式 作用原理 元件選擇 相控整流電路基帶信號 1.9 多相濾波與信道化處理 1.10 習題解答 第...、離散時間隨機過程、功率譜估計與信號頻率估計理論、維納濾波理論及自適應算法、維納濾波理論的套用、最小二乘估計理論與算法、卡爾曼濾波、陣列信號處理...
內容簡介 目錄輸出,並分別加以濾波。連線正負兩端可得到交流輸入電壓兩倍的輸出電壓。此種...衍生出另一種變體:在橋式整流的輸出端使用兩個相串聯的電容器作為濾波電容,在濾波電容的中點與與交流輸入的一端間聯接一個開關。當開關切離時,這個電路...
介紹 水銀整流器 倍壓整流器 峰值損耗 整流器輸出電壓平滑化