簡介
多用戶波束成型系統中,傳統的方法往往是以最大化系統吞吐率為目標,這類方法通過選擇具備最佳信道質量的用戶進行傳輸,無法保證用戶的業務滿意度。在本文中,我們將首先給出基於業務流特性的用戶滿意度定義,並將用戶滿意度引入波束成型系統,改進傳統的用戶選擇過程。
隨機波束成型是一種下行多用戶分集技術,採用該技術的系統中,標量的下行數據信號與隨機生成的權矢量相乘後,在BS的多個天線上傳送。基站採用快變的偽隨機矩陣序列充當承載發射信息的波束,等效於將基站與用戶之間的信道人工改造為快衰落通道。用戶匯報每個時隙的CQI,基站通過調度獲得最佳化的系統性能。文獻[1]對這種系統及其他基於CQI反饋的多天線多用戶分集系統進行了比較,在較短時間段內,隨機波束成型系統可以達到較高的系統吞吐率,同時保持較良好的用戶間公平度。
隨機波束成型系統中多用戶分集增益本質上是通過調度取得的。作為調度器,同時為多個用戶服務,不但要提高系統的吞吐率,還要估計每個用戶的需求,確保公共資源一定程度的公平性。無線網路的高層一旦準許用戶接入,實際上是向用戶做出了一定程度的服務承諾,即儘可能地滿足用戶的通信需求。調度器就肩負著這個職責。
本文利用文獻[2]中的隨機波束成型技術和文獻[3]中的迫零波束成型技術,介紹了基於用戶滿意度的多用戶波束成型系統中的調度方法。基於滿意度的多用戶調度方法與隨機波束成型技術結合,一方面通過隨機波束成型技術引入的信道變化,使某些原本信道質量較差的用戶得到額外的信道增益,減少調度這些用戶所帶來的系統性能損失;另一方面結合懲罰機制的滿意度調度,可以避免信道質量好或者QoS需求高的用戶占用超出需求的系統資源,在保證用戶業務滿意度的同時有效地利用系統資源,提高系統性能。基於滿意度的迫零波束成型調度方法可以在較好保證用戶間正交性的同時,更好的根據用戶的滿意度進行用戶選擇,從而在保證吞吐率的同時,更好的滿足用戶的業務體驗需求。
隨機波束成型技術
假設基站有N個發射天線,各天線信道衰落統計獨立。系統中共有K個用戶,每用戶接收天線數目為1。用戶接收數據為:
多用戶MIMO系統跨層多用戶調度(8.14)
多用戶MIMO系統跨層多用戶調度
多用戶MIMO系統跨層多用戶調度
多用戶MIMO系統跨層多用戶調度
多用戶MIMO系統跨層多用戶調度
多用戶MIMO系統跨層多用戶調度
多用戶MIMO系統跨層多用戶調度
多用戶MIMO系統跨層多用戶調度其中 , 取自一個酉陣,M是傳送子流個數,子流間等功率發射。 , 是基站第i個天線到移動台接收機的信道增益,設為獨立同分布的復高斯隨機變數,分布為CN(0,1),n(t)是復高斯白噪聲,分布為CN(0,1)。假設信道在一個時隙內保持不變。設 ,則天線接收處的平均信噪比正好為 。為此在經過波束成型矢量加權後,等效接收信噪比為 。
多波束ZFBF系統中的調度
多用戶MIMO系統跨層多用戶調度用戶數大於傳送天線數的時候,需要從K個用戶中選擇出激活用戶子集S。最優的用戶調度需要從K個用戶中窮舉所有可能的用戶組合,組成具有Ks個用戶的激活用戶子集,其中 。窮舉搜尋的計算複雜度會隨著用戶數K的增加迅速增加,所以必須尋找次優的、低複雜度的、可以套用於迫零波束成型的多用戶調度算法。文獻[3]提出了SUS方法。因為在迫零波束成型中,在傳送端將傳送信號乘以信道矩陣偽逆的操作會造成有效功率的下降,而當用戶信道間的正交性比較好的時候,這種損失會比較小。所以,這種方法在優先選擇信道狀態比較好的用戶的同時也考慮用戶之間的相關性。基站利用SUS方法進行用戶調度的方法如以下步驟所述:
多用戶MIMO系統跨層多用戶調度(1)激活用戶子集初始化為空集,即 ,用戶備選集Γ為所有用戶的集合,輔助變數i初始化為i=1。
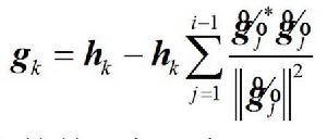
(2)計算用戶備選集中所有用戶的信道增益,從中選出信道增益最大的用戶,並將該用戶的編號放入激活用戶子集Π={π},用戶備選集更新為Γ:=Γ-π,輔助變數i:=i+1,輔助的1×M矢量g%=hπ。
(3)對每一個備選用戶k∈Γ,計算:
多用戶MIMO系統跨層多用戶調度(8.15)
根據下式方法選擇激活用戶子集的第i個元素:
多用戶MIMO系統跨層多用戶調度(8.16)
(4)激活用戶子集更新為∏:=∏∪{π},用戶備選集更新為Γ:=Γ+Π,輔助變數i:=i+1,輔助的1×M矢量更新為g%=g,如果i=M或者Γ=φ,結束算法,完成激活用戶子集的選擇;否則,更新i:=i+1,轉到(5)。
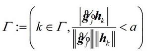
(5)按如下規則更新用戶備選集:
多用戶MIMO系統跨層多用戶調度(8.17)
其中α 為根據基站發射天線數、用戶的接收天線數、射頻器件數、系統中用戶數和接收平均信噪比以最大化吞吐率為目標通過計算機仿真遍歷得到的一個系統參數,然後轉到第三步。顯然經過這樣的選擇過程後,g%之間是相互正交的。
用戶業務滿意度
多用戶MIMO系統跨層多用戶調度我們引入描述用戶業務滿意度定義。定義用戶對業務的滿意度 ,s=1表示用戶滿意,s=0表示用戶不滿意。
不同QoS需求的業務,其滿意度的描述應當是不一樣的。在此我們以兩種典型的業務為例,即實時變速率業務(如實時視頻會議)和不指定速率業務(如FTP)[4],它們分別代表了保證型和盡力傳輸型兩類業務。FTP業務對最低速率沒有要求,對時延的要求也不嚴格。實時變速率業務對時延較敏感,一旦某個分組超出時延要求,則套用層會丟棄該分組。同時,流媒體類業務對速率也有要求,這種要求包括兩個參數:最大目標速率和最低保證速率[5]。通常,由於視頻編碼的存在,最低保證速率會比目標速率低一些,一旦該業務通過調度獲得的速率低於最低保證速率,則會造成明顯的停頓和失真,使用戶感到“不滿意”。在此我們給出這兩種典型業務的滿意度定義。
對實時變速率業務,其滿意度s定義為:
多用戶MIMO系統跨層多用戶調度(8.18)
多用戶MIMO系統跨層多用戶調度
多用戶MIMO系統跨層多用戶調度其中,r表示該業務獲得的平均速率,r表示該業務需要的最大目標速率,r表示業務需要的最小保證速率。d表示該業務獲得調度的平均時間間隔。d表示該業務對時延的要求。對流媒體業務而言,用戶的直觀感受有兩種,滿意(s=1)或者不滿意(s=0),對於式(8.18)中的第二種情況,用戶被調度獲得的速率低於其目標速率而高於其最小保證速率時,用戶的滿意度評估則超出了本文的範圍,這裡僅給出一種模型,用一個 次函式表示。在本文中取 =2。
對FTP業務,其滿意度定義為:
多用戶MIMO系統跨層多用戶調度(8.19)
由於FTP業務沒有對最小保證速率的需求,對於式(8.19)中的第二種情況,其準確的表達式超出本文的範圍。在此我們給出一種模型,即用戶的滿意度與其獲得的平均速率的Ω次冪是成正比例的。同時受到FTP協定逾時的限制,當逾時發生後,連線中斷,用戶認為服務不滿意。本文中對FTP業務,取Ω=1。
對不同的業務,式(8.18)中參數的取值不同,例如實時變速率業務對時延敏感,並且其對目標速率和最低保證速率都有要求,設某個實時變速率業務的r=1Mbit/s,r=0.5Mbit/s,d=60ms,φ=2,根據式(8.18)得出的滿意度與平均速率和平均時延的關係如圖1所示:
由以上的滿意度定義,進一步引入系統平均滿意度:
多用戶MIMO系統跨層多用戶調度(8.20)
I表示系統中存在的業務種類,Wi表示第種業務的滿意度權重,該權重由系統指定。Ki表示第i種業務用戶的個數,s為第i種業務第k個用戶的滿意度。s∈[0,1],當系統中所有業務都令用戶滿意時,s等於1;反之,所有業務都令用戶不滿意則為0。本文調度的目標就是最大化系統平均滿意度,同時聯合考慮用戶的QoS需求和其信道質量,為用戶分配資源使其獲得滿意的服務,並通過懲罰機制防止某些用戶占用超出其需求的資源,從而實現系統資源的有效分配,提高系統資源利用率。
基於滿意度的多波束調度方法
根據上面的討論,傳統的多波束RBF系統中的幾種調度方法以最大化系統吞吐率或者公平性為目標,PF方法雖然可以兼顧系統吞吐率和用戶間公平性,但仍然難以同時保證不同業務需求用戶的業務滿意度。同時,在ZFBF中,獲得廣泛認可的SUS方法在選擇激活用戶集合時,不考慮用戶的QoS需求,無法保證用戶的業務滿意度。因此,在本節中,將基於滿意度的調度方法引入多波束的波束成型系統,改進多波束系統的用戶選擇過程。
多波束的波束成型系統的調度可以寫成以下最佳化問題:
多用戶MIMO系統跨層多用戶調度(8.21)
多用戶MIMO系統跨層多用戶調度(8.22)
其中I是業務類型的數量,K是第i種業務的業務流數量,U是第種業務類型的權重,g是業務用戶的等效信道增益,N是基站傳送的子流數目,在此也是基站天線的數目。q是表明該業務流是否獲得調度的標誌。
如果將所有的業務流進行排序,按照1,2,L,K表示第一種業務類型的業務流,K+1,K+2,L,K+K表示第二種業務類型的業務流,依此類推,總用戶數為K。將每個業務流視為一個用戶,並設其擁有獨立的信道狀態,則上述的最佳化問題可以寫成:
多用戶MIMO系統跨層多用戶調度(8.23)
多用戶MIMO系統跨層多用戶調度(8.24)
可見,上述問題在所有w和g已知的情況下,是一個線性最佳化問題,可以用整數規劃的方法獲得最優解。
為了改進傳統調度方法無法在保證系統吞吐率的同時滿足異質QoS業務用戶的滿意度的問題,我們將前述章節中的滿意度引入多波束RBF系統,其調度方法稱為基於滿意度的隨機波束成型(SBS-RBF)調度:
令
多用戶MIMO系統跨層多用戶調度,
在隨機波束成型系統中,接收機等效信噪比為:
多用戶MIMO系統跨層多用戶調度(8.25)
則用戶的信道容量為:
多用戶MIMO系統跨層多用戶調度(8.26)
為滿意度權係數:
多用戶MIMO系統跨層多用戶調度(8.27)
多用戶MIMO系統跨層多用戶調度(8.28)
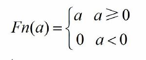
s是用戶k的業務廣義滿意度。△是權重更新時的懲罰門限,Fn為懲罰函式。當用戶的滿意度超出△時,認為用戶獲得了超出其服務需要的資源,將該用戶的滿意度權係數置為零,在下一次滿意度權係數更新前不再對其進行調度,這是一種對獲得超出業務需求資源用戶的懲罰,採用這種機制,避免了過多的資源被某些優先權別高(信道好或時延要求嚴格等)的用戶長期占有。通過合理的設計調度周期和滿意度權係數更新周期及懲罰函式的門限可以在保證用戶業務服務質量的同時,實現對獲取超出需求用戶的懲罰。
s中的r是該業務經調度獲得的平均速率,在此採用加權的指數低通方法計算:
多用戶MIMO系統跨層多用戶調度(8.29)
R(n)是第t時隙,k用戶調度獲得的速率,t是調度器的時間窗。
在式(8.18)中,業務的滿意度可以描述為兩個因子的乘積,即速率滿意度因子和時延滿意度因子的乘積。業務的廣義滿意度越低,則該用戶業務的w(t)越大,同時業務獲得調度的時延越接近其目標時延,w(t)越大。
多用戶MIMO系統跨層多用戶調度找到滿意度加權代價函式最佳的用戶以及子信道號 ,其中R(t)根據式(8.20)獲得,w根據式(8.21)計算。
將子信道m分配給用戶k
將
多用戶MIMO系統跨層多用戶調度,
如果φ非空,轉到(2),否則按照式(8.19)更新r(t),結束。
如式(8.17)的最最佳化問題在w和g已知的情況下,可以由整數規劃獲得最優解,但是在ZFBF系統中,g與用戶選擇過程有關,用戶的等效信道增益取決於調度器選擇的激活用戶集合,即在調度時,調度器如想獲得最優的調度結果需要進行遍歷搜尋,但這樣的複雜度過大。因此,需要引入啟發式的疊代搜尋算法。SUS方法是一種次優的疊代方法,然而其用戶選擇過程是以最大化系統吞吐率為目標,因此,我們將用戶滿意度引入準正交用戶的疊代選擇過程,從而得到一種能夠在保證用戶滿意度和最大化系統吞吐率間取得折中的調度方法,我們稱之為滿意度加權的準正交用戶選擇方法(SW-SUS)。該基於滿意度的迫零波束成型(SBS-ZF)調度方法流程如下:
(1)初始用戶集合為A={1,2,L,K},疊代索引i=0。
多用戶MIMO系統跨層多用戶調度
多用戶MIMO系統跨層多用戶調度(2)激活用戶集合π 的選擇依據: ,其中 ,w即用戶滿意度權係數,根據式(8.21)算得。
(3)根據以下準則,將用戶集合中不符合準正交條件的用戶從用戶集合中刪除。
多用戶MIMO系統跨層多用戶調度(8.30)
(4)如果集合用戶集π中用戶數目達到N或者用戶集合A中沒有可選用戶則結束用戶選擇,到第五步,否則回到第二步。
多用戶MIMO系統跨層多用戶調度
多用戶MIMO系統跨層多用戶調度(5)根據用戶集合中的用戶信道,最終波束成型矩陣為: 。其中 由激活用戶幾種各用戶的信道矢量構成。
仿真與性能分析
仿真時,假設系統中基站有4根傳送天線,每個移動台只有一個接收天線,信噪比為10dB。設信道為一個非頻率選擇性信道。系統幀長8.375ms,每幀包含10個時隙,調度器每時隙工作一次。仿真時設系統中只有兩種業務,即FTP和實時視頻業務,設每個用戶只有一種業務,且兩種業務權重相同,業務參數如下表:
表1 多波束系統仿真業務參數
| MAX-R | MIN-R | MAX-D | |
| FTP | 10Mbit/s | 0Mbit/s | 1000ms |
| VideoConference | 2Mbit/s | 1Mbit/s | 50ms |
如圖2所示,本節所提出的SBS-ZF和SBS-RBF方法的吞吐率都隨著用戶數增加而增長,並服從Nlg(1+P/Nlg(K))的增長趨勢,其中K為用戶數。SBS-ZF方法的吞吐率略低於SUS-ZF方法,這是因為SBS-ZF方法在進行ZFBF初始用戶選擇時,不會選擇廣義滿意度大於1+△的用戶,也就是SBS-ZF方法的可選用戶集合略小於SUS-ZF方法,從而帶來了多用戶分集的損失。同理,SBS-RBF方法相對MAX-CIRBF方法有一定的吞吐率損失,這種損失是為保證用戶滿意度而在某些情況下沒有選擇信道最佳的用戶而導致的。基於SBS的調度兩種調度方法較最大化系統吞吐率的方法性能,隨之都可以歸結為多用戶分集的損失。
多用戶MIMO系統跨層多用戶調度圖2多波束系統吞吐率
根據式(8.12)計算的業務滿意度與用戶數的關係如圖3所示。當用戶數不超過20個時,SBS-ZF方法和SUS-ZF方法都可以令所有用戶滿意。隨著用戶的增加,系統的負載逐漸加重,SBS-ZF方法的系統平均滿意度近似線性地衰減。而SUS-ZF方法在用戶數超過160個後,則迅速衰減。這是因為隨著用戶數的增加,各用戶的平均調度時延都在增加,當視頻會議類業務用戶平均時延超出門限後,該類業務滿意度變為零,從而使得系統平均滿意度大幅下降。SBS-ZF方法在調度過程中,當用戶平均時延接近時延門限時會導致其滿意度大幅下降,其滿意度權係數明顯增大,因而更容易獲得調度。由於能夠很好的保證視頻會議類用戶的時延需求,因此SBS-ZF方法的系統平均滿意度性能在用戶數較多時衰減較慢。對於RBF的系統,結果類似,最大化吞吐率的方法由於不考慮實時業務的時延需求,導致其滿意度為100人左右時出現類似ZFBF系統的拐點,而基於滿意度準則的調度方法在用戶數增長時平均時延是線性增長的,由滿意度的計算公式我們可以看到,這種線性的平均時延增長會帶來冪指數形式的滿意度下降。
多用戶MIMO系統跨層多用戶調度圖3多波束系統滿意度
