簡介
定義
多元探側器又稱多元紅外探測器,由多個單元紅外探測器按一定規則排列而成的線列或面陣器件,是一種新型的探測器,探測器接收到經過衰減的紅外信號,經過放大、濾波後判定視場中是否存在目標。有時也稱為多元陣列器件。多元探測器可由光電導探測器或光伏探測器組成,也可以由熱釋電型探測器組成,主要用於紅外成像系統。改進其信號處理方法,可以提高探側器的探側距離,使得飛彈可以在更遠距離上發現目標。但在遠距離上,探測器接受到的信號很弱,如何在保持低虛普率的條件下,提高紅外系統的發現機率是一個急需解決的間題。可採用多元探側器的導引頭信號處理方法,提高其在中遠距離上對目標的檢測性能。
優點
隨著紅外技術套用的擴大,以及抗干擾能力的增強,對多元陣列的要求也越加迫切。它除去能使紅外裝置減輕重量,縮小體積,提高可靠性等優點外,主要還有如下特點:
1.視場大,可提高探測精度,提高信噪比
目前為了提高探測目標的探測能力,通常使用幾個乃至成百個多元探測器陣列來代替單個器件。它與簡單的光學掃描技術相結合,比單個器件能提供較高的靈敏度和較大的視場範圍。過去,為了擴大視場,探測器要使用大量的設備或者要提高轉換率,方能提高器件的信噪比,現在用多元陣列連續探測一個較寬的視場,一方面可提高大視場單個探測器的信噪比,同時又可不用複雜的機械掃描,省去很多設備。與探測同樣大小視場的單個器件相比,探測靈敏度提高杯√N(N為元件數),即信噪比與探測元件數的平方根成正比。
2.動態範圍大,可進行多目標跟蹤
多元鑲嵌器件在整個使用波長具有較高的靈敏度,能跟蹤多目標,動態範圍大。由幾個元件組成的線性陣列可改進探測精度及抑制干擾源等能力,兩維鑲嵌陣列能進行邊跟蹤、邊掃描,可在跟蹤多目標的同時,連續搜尋其它目標。這種不用掃描的感測裝置具有1,000個PbS探測器陣列和緊湊的微型電路。據稱,這種裝置有可能用在美帝647預警衛星上。
3.可提高抑制背景的能力
對遙遠的目標來說,探測器在光學系統視場內,從背景接收的輻射顯著超過從目標接收的輻射,但目標是一個點輻射源,所以有可能用多元陣列來區別背景輻射。多元陣列裝置可提高信噪比並在瞬時視場內準確提高目標位置。
4.提高幀速率,擴大作用距離,不用機械掃描
過去用單個元件要在水平和垂直方向掃描,需用複雜的稜鏡,而且得不到幀速率、解析度和靈敏度很高的圖象。單個系統在陰極射線管上顯示的速度僅16幀/秒,現用10個77°KInsb線性陣列,只要在水平方向機械掃描12次,就可得到120條線圖象,掃描速率達47幀/秒,能分辨小於0.2°C的溫差目標。
過去熱成象用單個元件進行兩維機械掃描,需半分鐘才建立圖形,角解析度為1.7毫弧度,噪聲等效溫度為0.1°C,現用128個元件組成一維陣列,用一維機械掃描,整個圖形在一秒鐘內建立,由100線組成,角解析度為2毫弧度,噪聲等效溫度為1°C。製成單片熱電器件陣列的熱成象系統,能使可見光、紅外輻射和X射線成象,成象速率為30幀/秒,原用5x5個元件,現正設計2500個點元件的大規模器件。目前的前視紅外系統探測陣列有幾百個元件組成,以後發展將有上千個或更多的探測元件,這將增大信息速率,擴大系統的作用距離,並改進角視場。據報導,現已能獲得46公里的遠距成象。由於軍用要求靈敏度高、設備簡單、可靠,儘量不用複雜的機械掃描,現用一維陣列一維機械掃描。若用兩維多元陣列,兩維取樣,就可省去機械掃描。
研究意義
近年來,國外很重視多元陣列的研製,其原因是:
1)紅外系統的發展,它要求更靈敏和能集中大量目標數據和提高信息接收速率,並要求系統尺寸小、重量輕、可靠性高及功率損耗小,這用單個元件是很難達到的。因此,國外從六十年代初期就著手研製多元器件。目前在紅外多目標搜尋、跟蹤、制導和成象及衛星地平儀等方面都已見套用;
2)多元探測器陣列的製造表明了探測器材料和工藝發展到一個新的水平,也可以說是工藝和結構上的一次變革。雖然目前單個元件的水平很高,但不適應於當前系統要求均勻的高密度排列,而多元陣列卻可滿足這一要求。元件體積縮小、密度提高、焊點減少、互連引線縮短,使可靠性、開關速度大大改善,實現了材料、元件和電路三位一體。目前在紅外器件中已套用光刻技術和蒸發工藝。
今後,紅外器件的發展是使感測器這一級具有更多的功能。最好是將器件陣列、冷卻、放大、開關、信號處理、光譜濾波等都合併到感測器這一級上。
加工工藝
多元探測器陣列在套用上的特點固然很多,但它的製備工藝卻比單個器件複雜得多,如引線焊接,電路互連,元件致冷等等,這就要求與微電子技術相結合。
早期多元陣列是用機械方法劃分,近年已逐步採用微型電路、外延和光刻法製作。線列一般達幾百元件,鑲嵌陣列到上千個,可達1萬到10萬個器件,在每排陣列中有100到1,000個元件。
為了保證多元陣列可靠,首先必須保證單個元件的質量,這就需要預先進行足夠的試驗。對元件的要求:1)對於角解析度高的系統,元件尺寸要小;2)空間要求裝配密度要高;3)背景輻射(300°K黑體輻射)探測度和回響要好;4)元件一致性、穩定性好;5)有足夠的頻率回響;6)低頻時的噪聲要低。
信號特點和噪聲特點
點狀目標在光敏 電阻上的輸出信號紅外系統為了探側目標,需要對目標輻射能進行調製,即把紅外系統接收到的紅外輻射能轉換成隨時間變化的斷續的輻射能,並使斷續的輻射能的某些特徵隨著目標信息的變化而變化。紅外輻射的像點掃過焦平面上的光敏電阻時,光敏電阻會產生電脈衝。這個脈衝與相應通道的基準信號相比較,就可得出失準角在該通道上的分量。輻射源可分為點輻射源和面輻射源。不同的輻射源經過光學系統後,在探測器焦平面上形成的像點不同,光敏電阻產生的電脈衝形狀也不同。其中點狀目標信號的波形如圖。
紅外探測器對目標信息進行探測時,總存在各種干擾,包括外部的背景輻射干擾和內部的噪聲干擾。
這裡定義的噪聲是指與入射目標輻射信號不相關的電壓或電流輸出。因此外部的背景輻射干擾也看作是一種噪聲,背景輻射主要指空中能輻射紅外線的自然輻射源,例如太陽、大氣和雲團等。內部噪聲主要有:熱噪聲、散粒噪聲、產生—複合噪聲和1/f噪聲等。
多元探測器存在三種形式的噪聲:
(1)白噪聲,主要由熱噪聲、散粒噪聲、產生—複合噪聲組成。
(2)分形噪聲,即1/f噪聲
(3)背景噪聲
熱噪聲
不論是金屬、半導體或其它材料組成的電阻, 由於材料內部的熱運動, 導致電阻載流子運動的起伏, 由此產生的噪聲稱為熱噪聲。多元探測器通常採用光敏電阻, 因此也會產生熱噪聲。熱噪聲的公式首先由瓊生和奈奎斯特導出, 常稱奈奎斯特定理。
散粒噪聲
多元探測器它是由探測器回響元中的自由電子和空穴通過p-n 節的不連續形形成的。散粒噪聲譜的表達式為式中:I 為通過p-n 節的直流電流;e 為電子電荷。由散粒噪聲譜的表達式可知, 其頻譜與頻率無關,所以也是白噪聲。
產生-複合噪聲
半導體內載流子的產生和複合都是隨機過程, 各處的載流子濃度以及整個器件的載流子數均圍繞其平均值有起伏存在。器件中的載流子濃度及數量的起伏導致其電導率的起伏, 但該半導體器件外加偏壓後, 必引起器件內電流及電壓也存在起伏, 此即產生-複合噪聲。
1/ f 噪聲
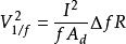
多元探測器在各類電子器件中, 幾乎均發現了與頻率有關的另一類噪聲。在低頻範圍內, 該噪聲常成為器件的主要噪聲。它的產生普遍認為與器件的結構工藝有關。噪聲譜為:
其中:A為探測器面積(cm );f為頻率;I為電流強度;R為電阻。
背景噪聲
空中自然輻射源的紅外輻射經光學系統後,投射在探測器上,引發與目標輻射不相關的干擾輸出。試驗和資料表明,背景噪聲可簡化為頻率大約等於探測器基準信號頻率的餘弦信號。
多元探測器陣紅外飛彈
調幅制飛彈在消除大面積背景干擾方面是成功的,但對於紅外干擾的調製輻射源干擾抗卻無能為力。可以證明,當出現這種干擾時,不論目標視線角速度如何變化,陀螺皆以最大力矩Mo向某一固定方向(非目標方位)送動,從而導致飛彈以最大力矩脫靶。而用多元探測器陣列取代紅外飛彈調製盤,形成調頻制跟蹤指令,因而採用這種技術的飛彈,除具有原來的優點外,還能完消除紅外干擾機的調製輻射源干擾。
多元探測器用多元探測器陣列製成的紅外飛彈系統,有類似調製盤的功能,它的信息傳遞方式如圖。
它除信號解調過程外,其餘與調幅過程。它藉助掃描對光能進行調製,同時它還有如下特點:(1)實現全波調製,消除了調製盤僅約50%的效率問題(2)把探測器單元進行一定的連線可消除大塊背景干擾。
“十”字光敏探測器脈衝調製系統探測器陣列—般作成線列或矩陣式。下面以簡單的“十”字形紅外探測器陣列,來說明其工作原理。如圖所示,在光學掃描系統的焦平面上依次成90°放置著四個紅外光敏元件,當目標位於光軸上時,掃描圓心與“十”字形中心重合,象點以對等方式穿過四個光敏元件,產生如圖所示的同周期的四個脈衝。適當連線線路使0°、180°和90°、270°元件分別組成的通道都輸出零直流電壓;當日標編離光軸時,掃描圓與探測器陣列不同心,產生如圖所示的脈衝信號,再把它和兩路基準信號相比較,就可獲得直角座標系中的兩個電壓分量,其大小反映目標俯離光軸的程度,極性表明偏離的方向,至此,它就象調幅式調製盤一樣產生了決定目標位置的信息,只是信息的表達式不同。
紅外多元探測器套用於紅外飛彈使之具有了良好的空曲濾波特性,藉助多路傳輸系統和計算機處理可實現跟蹤目標的能力。隨著科學技術的發展,多元探測器必有更加廣闊的發展前景。

