圖網路由相互連線的圖網路塊(GN block)組成,在神經網路實現中也被稱為“節點(node)”。節點間的連線被稱為“邊(edge)”,表示了節點間的依賴關係。圖網路中節點和邊的性質與圖結構相同,因此可分為有向圖(directed graph)和無向圖(undirected graph) 。有向圖的例子包括遞歸神經網路(Recursive Neural Network)和循環神經網路(Recurrent Neural Network);無向圖的例子包括Hopfield神經網路、馬爾可夫網路(Markov Network)等。需要指出,圖網路在定義上並不是人工神經網路(Artificial Neural Network, ANN)的子集而是其推廣,但在人工智慧問題中,ANN是圖網路的實現方式之一 。
圖網路
圖網路
圖網路
圖網路
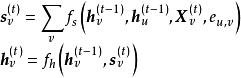
圖網路圖網路的每個節點都有內部狀態和系統狀態,被稱為“屬性(attribute)”。圖網路的屬性會在計算中按時間步(time-step)更新,更新方式包括同步和異步兩種,同步更新時,一個時間步內所有節點的屬性都會更新,異步更新時,一個時間步內只有部分節點的屬性得到更新 。對一個由點集合 和邊集合 組成的圖網路 ,在時間步 ,其節點 的同步更新方式如下 :
圖網路
圖網路
圖網路
圖網路
圖網路
圖網路式中 為圖節點的系統狀態和內部狀態, 為輸入數據,若當前時間步沒有輸入則不參與計算, 為節點 的相鄰節點, 為激勵函式。圖網路按以下方式輸出網路的全局屬性(global attribute) :
圖網路
圖網路式中 為讀出函式 (readout function),是所有節點屬性的函式。圖網路的異步更新方式可類比遞歸神經網路,對有向圖,異步更新比同步更新效率更高 。

