喇叭天線的分類
喇叭天線的基本形式是把矩形波導和圓波導的開口面逐漸擴展形成的,不管什麼形狀,就其結構來說,喇叭天線可以分為兩部分:波導管和喇叭。波導管相當於是供給喇叭天線信號和能量的部分,導波管的激勵大多採用電激勵方式,也有縫隙耦合、環激勵等方式。
喇叭天線的特點
喇叭天線具有增益高,反射小和頻頻寬等特點,而且加工簡單,成本低,是1GHz以上頻段廣泛使用的一類微波電線,不僅可以作衛星地面站、微波中繼通信用反射面天線的饋源,也可以作相控陣的單元天線。另外,在天線測量中,喇叭天線常用作標準天線,對其他高增益天線進行校準和增益測試。
喇叭天線的設計
喇叭天線的設計主要包括:喇叭幾何尺寸的計算,方向圖的計算和激勵波導的計算等。在設計喇叭天線時,一般所提的要求是一定的方向係數或方向圖的波瓣寬度。其設計步驟如下:
1)選用或設計作為激勵喇叭的波導;
2)確定喇叭的最佳尺寸;
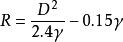
圓錐喇叭天線
圓錐喇叭天線其中D為喇叭口徑直徑,R為喇叭長度,為波長。
3)喇叭和波導的尺寸配合;
4)開口面上的相位的校驗。
螺旋-圓錐喇叭天線
波導管橫截面是圓形的喇叭稱為圓錐喇叭。研究發現,螺旋-圓錐喇叭天線(或成為螺旋錐天線)能極大的改善端射螺旋天線的性能。這種天線是在圓錐喇叭的內部放入一端射螺旋構成的,其螺旋的軸長近似等於圓錐的高。這種天線旁瓣極低,波束對稱,這種特性對於射電天文及其他套用很有幫助。

