具體提存方法
具體提存方法:先根據預計固定資產使用年限內的大修理費用總額。計算出大修理費用的提存率。再根據提存率定期計出提存額。
計算公式
其計算公式為:
預計大修理費用提存率=午大修理費用提存率÷12
某類固定資產月大修理費用提存額=該類固定資產月初原值×該類固定資產月大修理費用提存率
實例分析
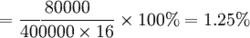
固定資產大修理費用提存率假設某類固定資產原值為40萬元,預計使用年限為16年,預計整個使用期限內共需大修理費用8萬元。其每月大修理費用提存額為:
月大修理費用提存率=1.25%÷12=0.1042%
月大修理費用提存額=4000000×0.1042%=416.80(元)
參考文獻
1 楊金城.商業銀行業務實用計算手冊[M].ISBN:7-5352-1134-8,湖北科學技術出版社.1994年09月第1版.
相關條目
固定資產大修理支出
