概念
單調映射
單調映射
單調映射
單調映射
單調映射
單調映射單調遞增一元函式概念在對偶作用意義下的無窮維推廣,設 是巴拿赫空間, 為 的對偶空間, ⊂ , ,若有
單調映射
單調映射
單調映射
單調映射則稱 為單調映射。若上式子中的等號僅當 時成立,則稱 為嚴格單調映射。若存在連續函式
單調映射
單調映射
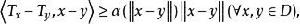
單調映射使得
單調映射
單調映射則稱 為強單調映射。
基本原理
單調映射
單調映射
單調映射
單調映射
單調映射
單調映射
單調映射
單調映射
單調映射
單調映射
單調映射
單調映射
單調映射定義:設 , , , 為有序集,稱函式 為 到 的單調映射。如果對任意 滿足 蘊含 ,則稱 為 到 的嚴格單調映射。
單調映射
單調映射
單調映射
單調映射
單調映射
單調映射
單調映射
單調映射
單調映射定理:設 , , , 為有序集, , 為單調映射,那么 為 到 的單調映射。
單調映射
單調映射
單調映射
單調映射
單調映射
單調映射
單調映射
單調映射
單調映射
單調映射
單調映射
單調映射定理:設 , , , 為有序集, ⊆ 為 中的 鏈, 為單調映射,那么 為 中的 鏈。

