定義
哈密爾頓-凱萊定理
哈密爾頓-凱萊定理
哈密爾頓-凱萊定理
哈密爾頓-凱萊定理
哈密爾頓-凱萊定理明確地說:設 為給定的 矩陣,並設 為 單位矩陣,則 的特徵多項式定義為:
哈密爾頓-凱萊定理其中 det 表行列式函式。凱萊-哈密頓定理斷言:
哈密爾頓-凱萊定理凱萊-哈密頓定理等價於方陣的特徵多項式會被其極小多項式整除,這在尋找若爾當標準形時特別有用。
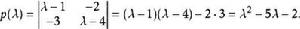
例子
舉例明之,考慮下述方陣:
哈密爾頓-凱萊定理其特徵多項式為
哈密爾頓-凱萊定理此時可以直接驗證凱萊-哈密頓定理:
哈密爾頓-凱萊定理此式可以簡化高次冪的運算,關鍵在於下述關係:
哈密爾頓-凱萊定理
哈密爾頓-凱萊定理例如,為了計算{\displaystyle A^{4}},可以反覆利用上述關係式:
哈密爾頓-凱萊定理
哈密爾頓-凱萊定理
哈密爾頓-凱萊定理
哈密爾頓-凱萊定理或是,如果要計算 ,也可以假設:
哈密爾頓-凱萊定理
哈密爾頓-凱萊定理然後,依照前面的特徵多項式之兩解 ,代入後可以得到
哈密爾頓-凱萊定理
哈密爾頓-凱萊定理
哈密爾頓-凱萊定理
哈密爾頓-凱萊定理然後解方程後求出 ,便可得 .
此外,凱萊-哈密頓定理也是計算特徵向量的重要工具。
哈密爾頓-凱萊定理
哈密爾頓-凱萊定理
哈密爾頓-凱萊定理
哈密爾頓-凱萊定理
哈密爾頓-凱萊定理
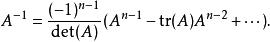
哈密爾頓-凱萊定理注:一般而言,若 矩陣 可逆(即: ),則 可以寫成 的冪次和:特徵多項式有如下形式
哈密爾頓-凱萊定理
哈密爾頓-凱萊定理
哈密爾頓-凱萊定理將方程式 同乘以 ,便得到
定理證明
哈密爾頓-凱萊定理以下考慮布於域 上的矩陣。
哈密爾頓-凱萊定理
哈密爾頓-凱萊定理
哈密爾頓-凱萊定理
哈密爾頓-凱萊定理凱萊-哈密頓定理可以視為線性代數中拉普拉斯展開的推論。拉普拉斯展開可推出若 是 矩陣,而 表其伴隨矩陣,則
哈密爾頓-凱萊定理
哈密爾頓-凱萊定理
哈密爾頓-凱萊定理
哈密爾頓-凱萊定理取 ,便得到 。此式對所有 皆成立,由於實數或複數域有無窮多元素,上式等式在多項式環內成立。
哈密爾頓-凱萊定理
哈密爾頓-凱萊定理
哈密爾頓-凱萊定理
哈密爾頓-凱萊定理
哈密爾頓-凱萊定理
哈密爾頓-凱萊定理
哈密爾頓-凱萊定理
哈密爾頓-凱萊定理設 ,矩陣 賦予 一個 -模結構: 。考慮 模 ,我們有 -模之間的“求值態射”:
哈密爾頓-凱萊定理
哈密爾頓-凱萊定理
哈密爾頓-凱萊定理固定 ,對 中的等式
哈密爾頓-凱萊定理
哈密爾頓-凱萊定理
哈密爾頓-凱萊定理
哈密爾頓-凱萊定理
哈密爾頓-凱萊定理右側取 後得到 ,左側取 後得到 。明所欲證。
一個簡單的證明: 令:
哈密爾頓-凱萊定理
哈密爾頓-凱萊定理由:
得:
哈密爾頓-凱萊定理
哈密爾頓-凱萊定理因兩多項式,他們的對應項係數相等得:
哈密爾頓-凱萊定理在等式兩邊t的i次項係數分別乘以A, 並將等式左右兩邊分別相加併合項得:
哈密爾頓-凱萊定理得證.
抽象化與推廣
哈密爾頓-凱萊定理
哈密爾頓-凱萊定理
哈密爾頓-凱萊定理前述證明用到係數在 的矩陣的克萊姆法則,事實上該法則可施於任何係數在交換環上的矩陣。藉此,凱萊-哈密頓定理可以推廣到一個交換環 上的任何有限生成自由模 (向量空間是特例)。中山正引理的一種證明就用到這個技巧。
