咪唑喹啉酸
【中文名稱】咪唑喹啉酸【其他中文名稱】滅草喹
【英文名稱】imazaquin
【其他英文名稱】imazaqine
【農藥類別】除草劑
【作用方式】內吸
【CA登記號】81335-37-7
【化學類別】雜環化合物
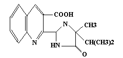
【化學名稱】2-(5-異丙基-5-甲基-4-氧代-2-咪唑啉-2-基)喹啉-3-羧酸
【分析方法】
【分子式】C17H17N3O3;C17H20N4O3(滅草喹氨鹽)
.【結構式】
理化性狀
原藥外觀淺黃色結晶,熔點:218℃-225℃,蒸氣壓(60℃)0.013mPa,溶解度:水(25℃W/V)60mg/L,在酸性介質中穩定,遇鹼成鹽溶於水。製劑外觀為淺棕色液體,pH9.0-10.0。毒性
中毒症狀:急救治療:
注意事項:1.施藥噴灑要均勻周到,不宜飛機噴灑,地面噴藥應注意風向、風速,以免飄移造成敏感作物危害。2.不能在雜草四葉期後施用。3.為保證安全,應先試驗,後推廣,在當地農技部門指導下使用。
每日允許攝入量:
急性經口LD50:LD50>4640mg/kg
急性經皮LD50:LD50>2150mg/kg
作用特點
該產品為咪唑啉酮類高效、選擇性除草劑,是側鏈胺基酸合成抑制劑。主要用於豆田、花生田除草,可有效防除蓼、藜、反枝莧、鬼針草、蒼耳、苘麻等闊葉雜草、對臂形草、馬唐、野黍、狗尾草屬等禾本科雜草也有一定防治效果。
環境
水生生物:魚毒LC50(96h)鮎魚320mg/L藍鰓魚410mg/L虹鱒280mg/L蜜蜂:LD50>0.1mg/kg
天敵:鵪鶉和野鴨LD50>2g/kg

