在電力系統中很多因素都能造成過電壓的發生。但是對電力系統危害最大的是鐵磁諧振引起的過電壓,而且由鐵磁諧振造成的過電壓發生的次數最多。由於鐵芯電感的非線性特徵使涌流中產生大量的低次諧波,一旦涌流中的諧波分量頻率與振盪電路的固有頻率接近時,將產生嚴重的過電壓,過電壓與工頻電壓進行疊加從而在迴路中形成飽和過電壓。過電壓的發生,不僅嚴重危及生命,或者更糟糕的是,直接導致設備損壞,造成停電事故。當發生接地故障或者合鬧操作時容易發生鐵磁諧振,一旦發生鐵磁諧振過電壓,過電流就會發生,這是由於電磁式電壓互感器作為非線性元件和匯流排之間能夠形成一個非常大的對地電容,從而形成了一個諧振電路 。
為了避免這種現象,有必要採取一些措施,以防止出現鐵磁諧振。然而,不同的措施有其各自的優缺點,對此需要明確分析,以找到其範圍和局限性,提高設備性能,具有非常重要的套用價值 。
電磁式電壓互感器鐵磁諧振的原理
一般情況下,電磁式電壓互感器的勵磁阻抗非常大,其與大地形成對地電容,保證了相間平衡,中性點的位移電壓非常小。但是,當發生單相接地故障或者故障排除、接入互感器、電力系統的運行方式發生改變、電氣設備的投入或者切除、負荷端大規模的變化或者網路頻率發生大的波動等干擾時,會使得電壓互感器的繞組電感下降,勵磁電流瞬間增大,相間電感差異增大,從而使得中性點的位移電壓變大,即出現零序電壓 。
諧振現象的發生前提一定是電網中存在諧振迴路。此處,TV的三相併聯零序電抗L。和對地電容3C?就構成了諧振迴路。一旦電網中的頻率達到諧振頻率就會發生鐵磁諧振。諧振的類型可以分為高次(2、3次)、基波、1/2次分頻諧振,分類與對地的電容3C。的增大是密切相關的。諧振形成後可以自保持,直到改變外施條件從而使諧振條件破壞,這樣以達到消除諧振現象的目的 。
臨界電壓的最低值與諧振區的頻率有關,電壓的臨界動作值與;值有關。所需的外施電壓隨頻率的升高而變大。外施電壓在分頻諧振區最低,相反在高頻諧振區最高。比如當實際電壓滿足額定電壓的0.55倍時,稍微有點波動,系統就能被激發出現鐵磁諧振,並且在正常的額定電壓下,最容易發生工頻諧振和分頻諧振現象 。
一旦發生諧振現象,互感器各相的對地電壓都發生變化。各相繞組的相電壓都會不同程度的變大,而電網正序電勢由於是由電源電勢決定,所以保持恆定不變。電源中性點發生位移從而導致電壓變化,這種變化就是電網運行中非常常見的過電壓現象。體現在互感器開口三角繞組處的中性點位移電壓就是電網的對地零序電壓。3C0迴路中將流過零序電流,震盪過程沒有正序電流的參與。零序電壓的下降結果和將3C0,移接至電源的中性點所產生的結果是相似的 。
高頻諧振時,由於高頻時激發電壓非常高,雖然過電壓可以達到額定電壓的五倍,在實際中並不容易產生。但是分頻諧振與之不同,由於其頻率為二分頻是工頻的二分之一,勵磁電抗也就縮小一半,激磁電流瞬間增大,可以高達額定勵磁電流的上百倍,使得電壓互感器鐵芯嚴重飽和,從而短路電流持續的時間增長,造成保護電壓互感器的溶絲培斷或者造成互感器本身繞組的燒毀事故 。
勵磁特性對鐵磁諧振的影響
為了監視電力系統的運行狀態,往往在一次系統中(發電廠和變電站)裝設電壓互感器,而且電磁式的互感器在中性點不接地系統中得到了廣泛的套用。由於電磁式的互感器呈感性,並且系統中存在大量的容性元件,當頻率達到諧振頻率時會發生諧振過電壓,同時產生的大電流可能使得一次側的溶斷器燒毀,嚴重時可以損壞電ffiS感器,使得繼電保護裝置誤動作,從而影響系統的穩定性 。
中性點不接地系統正常運行時,其伏安特性是非線性的,這是因為正常運行時,中性點電壓為0,流過電容C0的電流為對地電容電流,數值是非常小的,但是電壓互感器的各相激磁阻抗比較大,使得激磁電流比較小,鐵芯不會飽和。當系統中發生故障(單相短路接地)而達到激勵條件時,系統的中性點電壓高於零,從而產生幅值比較大的短路電流,該短路屯流在整個電力系統中(包括電源、互感器一次側、對地電容以及大地)流動,系統中的零序電壓和零序電流不再為0,沒有發生故障的剩餘兩相的電壓會升高,超過額定的相電壓。在電壓作用下,鐵芯因為流過一次繞組的激磁電流的瞬間增大而出現飽和現象,從而導致電磁式電壓互感器的激磁阻抗減小。一旦滿足Xlo= Xco電磁式電壓互感器的鐵芯中就會出現鐵磁諧振 。
上面描述的是出現單相接地故障時,鐵磁諧振現象出現的原理。除此以外,當電源非同期合鬧、空載線路投切操作或者投入新的電磁式電壓互感器等也能導致系統滿足諧振條件。不同激發條件導致的諧振,諧振頻率也是不同的,根據頻率的不同將鐵磁諧振分為低頻、高頻以及基頻三種不同類型 。
基於mat lab的電磁式電壓互感器的鐵磁諧振
仿真模型介紹
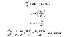
中性點不接地系統的鐵磁諧振現象,由於在實際電力系統中,鐵磁諧振現象通常發生在當變壓器或者互感器空載時,這些設備的電感和輸電線路對地電容所形成的迴路。電路中含有非線性的電感,所以磁通隨時間變化關係也是非線性的。鐵磁諧振迴路中的電源電動勢為e(t)=ESinωt,、ω為電II角頻率。電路方程通過基爾霍夫定律可推得 :
公式電壓互感器的非線性特性
諧振迴路中最重要的電感元件電壓互感器,其勵磁特性具有非線性特徵,所以必須弄清楚互感器勵磁特性的非線性特徵。磁鏈與電流的關係分為兩個階段,當電流比較小時,磁鏈與電流成正比,繞組電感值幾乎為定值;但是隨著電流的增大,鐵芯飽和現象越來越嚴重,磁鏈與電流的關係呈現出非線性,同時繞組電感也不再是常數(隨電流的增大而減小)。電感可分為靜態電感和動態電感,靜態電感反映的是磁鏈大小與電流的比值,而實際過渡過程中,採用動態電感即磁鏈變化量與電流變化量的比值。對於線性電感,靜態電感值和動態電感值是相同的,而且是常數。而電磁式互感器中的鐵芯電感是非線性的,靜態電感和動態電感並不是相同的,但它們具有相同的變化趨勢,即隨著電流的增大而減小。如勵磁試驗中擬合結果相同,在仿真計算中也往往採用多項式來表示勵磁特性關係 。
鐵磁諧振檢測中的粒子群算法
由於長期受到魚群、鳥群以及人類社會的行為規律的啟發,1995年IEEE的國際神經網路學術會議上,美國社會心理學家J.Kennedy和電氣工程師R.C.Eberhart提出了粒子群算法。粒子群算法的基本思想是假設有許多初始粒子存在有限可解空間,並且粒子沒有速度和質量,每個粒子都代表著需要解決問題的最優解,粒子在空間不停的運動,但是粒子的速度是受到動態調整的,速度不僅決定其運動的方向還能夠決定其走過的路程,當然速度的調整是根據已有的經驗或者研究問題的群體經驗來設定的。每個粒子都追蹤最優的粒子所在的位置,粒子的好壞是通過適應度函式來確定的。經過多次疊代搜尋更新後,就得到了問題的最優解 。
粒子群算法有許多優點,粒子的初始值對於最優值的獲得沒有影響,使得該方法的研究範圍大大的擴展。該算法的公式非常簡單,需要考慮的參數變數比較少,這樣就容易通過編程來實現。在尋求最優解的過程是,是群體搜尋,疊代收斂的速度非常的快,大大節省了計算時間。能量的高低與電流電壓密切相關,一旦發生鐵磁諧振,迴路中諧振頻率對應的電壓、電流最大,則可以認為鐵磁諧振迴路中只有諧振頻率存在,其他頻率忽略不計 。
電磁式電壓互感器鐵磁諧振的預防
一次側消諧
一次側消諧主要的措施都施加在一次繞組側。將消諧電阻連線在中性點或者將中性點與一台單相的電壓互感器相連線地。中性點連線的消諧電阻小到幾千歐姆,大到幾萬歐姆,具有分流、避免鐵芯過飽和以及過電壓的出現等作用。當發生單相接地故障時,消諧電阻在故障消失後起到將非故障相電流引入大地的效果。這樣就使得一次線圈的勵磁電流減小,由於消諧電阻也串聯在零序等值電路中,所以也能起到降低一次線圈電壓的作用 。
將單相電壓互感器連線到電壓互感器的中性點處來消諧,能夠起到增大電壓互感器等值阻抗的作用,這是因為單相互感器的接入等同於高阻抗接入。一旦發生單相接地的故障,則單相電壓互感器起到分擔系統零序電壓的作用,從而避免了互感器鐵芯飽和現象的出現,進一步避免了鐵磁諧振的出現。但是一次側消諧由於安裝在中性點位置會帶來一些的問題,高壓中性點發生位移,造成三相電壓不平衡。使電壓互感器二次側相電壓波形中出現明顯的三次諧波,導致相電壓測量結果嚴重失真,電壓互感器 口三角會濾出三次諧波的干擾信息,其值可達幾伏到十幾伏,影響接地信號繼電器的整定 .
二次側消諧
二次側消諧指將燈泡、電阻或者一些智慧型的消諧器並聯在電磁式電壓互感器的二次開口三角繞組上的方法 。
並聯大功率的白識燈,一旦發生故障,燈泡可以消耗一部分多餘的能量。因為燈泡的加入相當於增大了系統的總電阻,則系統的有功損耗就增多。有功的損耗增加減少了發生鐵磁諧振的可能性。一般並聯在開口三角繞組處的電阻為壓敏電阻,其阻值隨電壓的變化而變化。正常情況下,電壓在開口三角繞組處為零,壓敏電阻的阻值非常大,在系統中不起作用。一旦發生單相接地故障,開口三角繞組處的電壓增大,壓敏電阻值減小,系統仿佛經中性點接地。從而將大量的諧振能量導入大地,減少對系統的損害。將能夠區分諧振和系統接地故障的智慧型消諧器連線在開口三角繞組處,當消諧器檢測到發生了鐵磁諧振故障就動作,將互感器的開口三角繞組短接進而產生一個抑制諧振過電壓的與諧振電壓相反的反向電勢 .
其他方法
一方面只要保證系統的整體阻抗呈感性就能防止鐵芯出現過飽和狀態,為了達到這一目的,可以採取的方法有很多,比如減少電磁式電壓互感器並聯運行的台數、增大互感器的等值電抗等等。另一方面還可以選用電容式電壓互感器等激磁特性好但是又不容易出現鐵芯飽和的互感器。除此以外,改變電壓互感器的接線方式或者在系統中增加防止鐵磁諧振的措施 。
直流法測試原理
直流飽和法是在互感器二次端子上施加一個恆定的直流電壓,使磁通逐漸上升並達到飽和來確定鐵心的勵磁特性。測量過程是通過測量勵磁電流,並對互感器兩端電壓進行積分便可得到被測的勵磁曲線。恆定的直流電壓採用直流源提供,為了在較短時間達到所要求的勵磁電流限值,電源提供的最大勵磁電流Im應是額定電流的5倍以上,同時電源的電壓應略高於IR的乘積,其中,Rct為電流互感器二次繞組的直流電阻,其測試原理見下圖,圖中,ch1通道為測試流過互感器的電流;ch2通道為測試互感器兩端電壓;E為直流電源;R為充電電阻;R為放電電阻;R為取樣電阻;S為放電測試開關 。
直流飽和法試驗測試原理圖測量步驟
實際測量時,需根據選用線圈的二次時間常數及線圈內阻等設計參數,初步估計飽和電流大小和達到飽和的時間 。
適當調整直流源輸出電壓及充電電阻與放電電阻,調整好示波器參數(主要是採集滿屏信號所需的時間),保證採集到所有區間段的有效數據,然後用標準溫度計測量並記錄當前溫度值。按測試啟動K1,充電指示燈亮,一段時間後,線圈飽和,勵磁電流達到穩定值,此時按放電測試開關,放電過程開始,直至電流降至0,將示波器中的數據導出到存儲設備中。為了避免測量中需退磁,試驗採用正反電源充電,第1次充放電不記錄數據,從第2次測試開始記錄數據,記錄完畢先關掉電源,然後將2次繞組兩端接線互換位置,每2次一組,在測量剩磁時可得到完整的磁滯回線。為避免隨機誤差,每個繞組均測量5組數據 。
