靜態誤差係數只適於刻畫穩態誤差是常數的系統,動態誤差係數可用來描述系統穩態誤差隨時間的變化規律.研究“穩態誤差係數”條目圖中所示的閉環系統,其誤差信號。(t) 與輸人信號r(t)間的傳遞函式為
動態誤差係數把E(s)/R(s)展開為、的升冪級數:
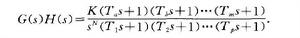
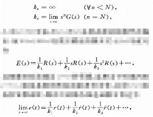
此級數的係數kmkz}ks}…被定義為系統的各階動態誤差係數,即k,為動態位置誤差係數,k:為動態速度誤差係數,k3為動態加速度誤差係數等.考慮開環傳遞函式G(s)H(s)有如下形式的N型系統:
閉環系統的動態誤差係數由下列各式給出:
動態誤差係數(bn>N)可由E(s)/R(s)在原點附近的展開式確 .按E(s)/R(s)在原點附近的展開式,E (s)可改寫
此級數的收斂域是、一O的鄰域,這相當於時域內的 t~二.假定系統的所有初始條件為零,且設r(t)的各階導數連續,則對應的穩態誤差函式可表達為
動態誤差係數這樣,由輸人函式及其各階導數所引起的穩態誤差可根據動態誤差係數求出.動態誤差係數為計算任意輸人作用下系統穩態誤差時間函式提供了一種簡單方法,可避免直接求解系統的微分方程.動態誤差係數中動態的含義不是指系統過渡過程中的瞬態誤差,而是指系統穩態誤差隨時間的變化.
