背景
深水海底常常潛伏著大量的高壓淺層氣層,鑽遇淺氣層時,往往不僅沒有技術套管,而且沒有下表層套管,所以無法安裝防噴器系統,而在這種情況下是十分危險的。同時,由於海水的存在,海底岩層的壓實程度小於陸上(即海上地層破裂壓力梯度小於陸上),海水深度越大,二者的差別越大。因此,與陸上相比,深水地層更容易被壓裂。此時,利用高密度鑽井液及常規的藉助井口裝置產生回壓來平衡地層壓力的壓井方法就不再適用。動力壓井困〕作為一種非常規壓井方法,並不是藉助井口裝置產生回壓來平衡地層壓力,而是藉助流體循環時克服環空流動阻力所需的井底壓力來達到與地層壓力的平衡,這為有效解決深水地層低破裂壓力梯度及高壓淺層氣問題提供了可能。
基本原理
動力壓井法是Mobil公司首先提出的一種新方法,其最早只套用於陸上壓井作業。該方法作為一種非常規壓井方法,其基本原理是:以一定的流量泵入低密度壓井液,使井底的流動壓力等於或大於地層孔隙壓力,從而阻止地層流體進一步侵入井內,達到“動壓穩”狀態;然後逐步替人加重壓井液,以實現完全壓井的目的,達到“靜壓穩”狀態。它並不是通過使用高密度鑽井液來達到壓井的目的,而是通過增加排量,使流體循環時的摩阻增大,藉助環空摩阻和靜液壓力來平衡地層壓力。動力壓井法的環空流動壓降均勻分布在整個井身長度上,而常規壓井的回壓作用在整個井身的每一點上,也就是說動力壓井法將產生較小的井壁壓力。這個特點可以很好地解決淺層氣壓力高、地層破裂壓力低等難題。在實際的海上作業時,可以直接採用海水做壓井液,通過增大單位時間內海水的注入量來實現壓井目的。
步驟
針對深水海底高壓淺層氣所處位置“淺”的特點,可以採取以下步驟進行動力壓井操作:
1)結合現場數據,計算動力壓井參數,包括壓井液密度、排量、泵功率等;若地層破裂壓力低,可直接採用海水做壓井液;
2)通過鑽桿將壓井液以計算好的排量或以井底壓力不致超過地層破裂壓力的排量泵入井內;
3)壓井過程中,應根據模擬計算的結果,動態調節壓井液排量,以保持井壁穩定;
4)淺層氣完全排出井筒、成功壓井後,注水泥塞封住高壓淺層氣地層;
5)重新鑽至淺氣層頂部,停鑽、固井,安裝防噴器;
6)選用密度合適的鑽井液,鑽穿淺層氣,繼續鑽井作業。
如果平台著火,首要的問題是人員安全,要有秩序地安全撤離。然後組織滅火併通過打救援井處理事故。救援井鑽成之後,可用酸化和壓裂法使兩井溝通。溝通後就可按上述步驟實施壓井。
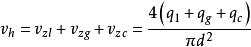
動力壓井所需排量計算
動力壓井所需排量的計算原則是:在該排量下,井內的流動循環摩阻加液柱壓力略大於地層壓力。初始壓井液一般採用低密度液體,加大排量,以彌補密度降低所減小的液柱壓力,海上壓井時為了便利可直接採用海水。目前,單相流體條件下的排量計算公式已經非常完善,而對多相流動條件下排量計算公式的研究還不夠深入。筆者利用多相流計算公式對動力壓井排量進行計算,計算用到的基本公式如下:
動力壓井
動力壓井
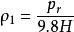
動力壓井式中,
p——為井底壓力,MPa;
ρ——為流體混合密度,kg/m ;
v——為混合流體流速,m/s;
f——為摩擦係數,無因次;
L——為流體流程,m;
R——為水力半徑,m;
q,q,q——分別為井筒內液相、氣相及固相流量,m /s;
d——為過流斷面直徑,m;
ρ,ρ,ρ——分別為液相、氣相及固相密度,kg/m 。
將上述三個公式聯立,代入井筒多相流動方程,便可求得需要的動力壓井排量。
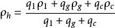
動力壓井液密度計算
動力壓井
動力壓井由於此處考慮多相流動情況,所以並不能像單相流動情況下那樣直接給出密度計算公式。由於海底地層破裂壓力低,此處只根據地層破裂壓力p和淺層氣壓力p計算兩個壓井液密度極值 、 然後取兩者之中小的一個作為壓井液密度上限,在該上限範圍內,選擇多個密度值代人多相流動方程,計算相應的排量,從而根據實際情況進行參數優選。考慮到海上鑽井的特殊情況,可以直接用海水做壓井液。

