表示方法
時間---溫度法
一般以降溫過程中食品物料內部溫度最高點,即熱中心的溫度表示食品物料的溫度。選擇的溫度範圍一般是最大冰結晶生成帶,常用熱中心溫度從-1℃降低到-5℃這一溫度範圍的時間來表示。若通過此溫度區間的時間少於30min,稱為快速凍結;大於30min,稱為緩慢凍結。
這種表示方法使用起來較為方便,多套用於肉類凍結。但這種方法也有不足:
一是對於某些食品物料而言,其最大冰結晶生成帶的溫度區間較寬(甚至可以延伸至-15~-10℃);
二是此法不能反映食品物料的形態、幾何尺寸和包裝情況等,為此在用此方法時一般還應標樣品的大小等。
冰峰前進速率
冰峰前進速率是指單位時間內-5℃的凍結層從食品表面伸向內部的距離,單位為cm/h,常稱線性平均凍結速率。這種方法最早由德國學者普朗克提出,他以-5℃作為凍結層的冰峰面,將凍結速率分為3級:
快速凍結5~20 cm/h;
中速凍結1~5 cm/h;
慢速凍結0.1~1 cm/h。
該方法的不足之處是在實際套用中難於測量,而且不能套用於凍結速率很慢以至於產生連續凍結界面的情況。
國際冷凍協會定義
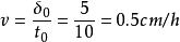
凍結速率(v)是指食品表面與中心溫度點間的最短距離(δ)與食品表面達到0℃後食品中心溫度降至比食品凍結溫度低10℃所需時間(t)之比,單位cm/h。如食品中心與表面的最短距離(δ)為5 cm,食品冰點-5℃,中心降至比冰點低10℃,即-15℃,所需時間為10 h,其凍結速率為:
凍結速率該劃分規則考慮到因食品外觀差異、成分不同而使其冰點不同,故其中心溫度計算值隨不同食品的冰點而變,比上法-5℃為下限溫度低得多,對速凍條件要求更為嚴格。
其他方法
凍結食品物料的外觀形態,包括凍結界面(連續或不連續)、冰結晶的大小尺寸和冰結晶的位置等也可以反映凍結速率。
快速凍結的凍結界面不連續、凍結過程中食品物料內部的水分轉移少,形成的冰結晶細小而且分布均勻;
緩慢凍結可能產生連續的凍結界面,凍結過程中食品物料內部有明顯的水分轉移,形成的冰結晶粗大且分布不均勻。這種方法直觀,但不能反映凍結速率上的細小變化,而且易受凍結速率之外其他因素的影響。
通過熱力學的方法也可以相當準確地測定單位時間、單位食品物料內冰結晶的生成量,以此表示凍結速率。
影響因素
除了凍結食品的絕對冷凍要求以外,還有一些影響凍結速率的因素,從而有助於決定質量。
食品冷卻和凍結的速率一般用兩個變數的函式表示,即用驅動力除以傳動阻力總數。驅動力僅僅是產品與冷卻介質之間的溫差。阻力取決於諸如空氣速度,產品厚度、系統的幾何學和食品成分等因素。
無論所循環的製冷劑是否與食品的運動方向呈逆流或同向,連續冷卻和凍結系統中的幾何學可包括如製冷劑與待冷卻食品的接觸程度和攪拌程度,在另一方面,產品的成分不僅包括化學成分和各種組分的導熱係數,而且包括組分的物理排列,例如脂肪在肉塊內的分布情況以及與冷凍表面有關的肌肉纖維的定向。
食品成分
食品組分與金屬和其他物料一樣,具有隨溫度起變化的不同導熱性質。在其他條件都相同的情況下,導熱係數越大,冷卻和凍結速率越大。在冷卻和凍結溫度範圍內,水的導熱係數直至水相向冰相變化時才起變化。於是凍的導熱係數遠比水的大,當食品從未凍結狀態通向凍結狀態時,食品的導熱係數迅速地提高。
脂肪的導熱係數比水低得多,而空氣的導熱係數又遠比水或脂肪低得多。所以我們就可以在受控制凍結條件下對食品的成分作出如下結論:
①冷卻和凍結速率可受成分所影響,脂肪含量高或空氣夾帶量高會趨於具有不利影響。
②由於水變成冰而使熱傳導係數起變化,所以在加工過程中冷卻和凍結速率並不是不變的。
③我們可以期望食品的物理結構不同會影響凍結速率。如果有兩種均含有50%脂肪和50%水分的食品系統,但是一種是水包油乳化液,而另一種是油包水乳化液,可以預料這兩種食品的導熱性質各不相同。在這裡,水包油乳化液由於水是連續相的,所以在不同溫度下的導熱係數應比相應的同樣化學成分的油包水乳化液大。在其他條件都相同的情況下,水包油乳化液的凍結速率應比油包水乳化液快。
④同樣地,像肉塊的結構系統應在不同速率下導熱,取決於肉是否以與脂肪層和肌肉纖維的定位方向呈平行或垂直的方向與致冷麵接觸。我們可以對傳熱如何受這些變化的影響作出有分寸的猜測,但是遺憾的極少發表沿著這些路線對食品系統所進行的研究。
非成分影響
就影響凍結速率的其他變數而言,例如空氣速度、產品厚度、攪拌作用和食品與冷卻介質之間的接觸程度等,這些作用是眾所周知的,遵循傳熱的簡單規定,基本上可決定凍結系統的設計。要引證這些變數對凍結速率的直接作用是容易的,這些作用實際上可以套用於任何系統設計。然而,要定量測定這些變數的作用一般必須通過實驗而建立種不同食品和系統的幾何學,使具有確實性。
下列各點可套用於任何系統設計:
①食品與製冷劑之間的溫差越大,凍結速率越大;
②食品或食品包裝物越薄,凍結速率越大;
③冷凍空氣或循環製冷劑的速度越大,凍結速率越大;
④食品與冷卻介質之間的接觸越近,凍結速率越大;
⑤製冷劑的製冷作用或熱容量越大,凍結速率越大。
在最後一點上,如果製冷劑是一種能膨脹至氣體的液體,那么製冷作用主要取決於其特殊的氣化潛熱。如果製冷劑並不經受相的變化,諸如鹽---鹽水,那么其製冷作用取決於其熱容量或比熱。
在這些有關凍結速率的主要變數中,有些變數的大小序列是重要的。於是,把隧道式凍結機內的空氣溫度從-18℃(0°F)降低到-29℃(20°F),一般可使小糕點的凍結時間從40min縮短至約20min。用-196℃(-320°F)液氮噴射可使凍結時間縮短到2min以下。然而,把凍結機溫度降低到非常低的水平並不能引起直線凍結速率反應,由較低溫度導致的加快速率趨於減緩,在凍結溫度低於-46℃(-50°F)以下時更是這樣。
在-18℃的靜止空氣下,諸如個別的水果或小魚片小型食品可在約3個小時內凍結。在此溫度下把空氣速度加快到1.25m/s(250in/min)可使這些食品的凍結時間降低到約1h,而5m/s的空氣速度可使凍結時間進一步降低到約40min。無論是在冷空氣中或是在任何其他流動的製冷劑中,提高速度可以通過從食品表面帶走熱量和快速地用冷的製冷劑替代熱的製冷劑以在食品與製冷劑之間保持最大的溫差而使凍結加速。但是,這裡也可以發現凍結速率並不隨空氣速度而線性地加快。
食品或包裝的厚度對凍結速率的作用是,當普通的食品包裝的厚度從約5cm(2in)提高到10cm(4in)時,凍結時間約增加2.5倍。但厚度曲線坡度是這樣的,當我們繼續加厚產品的厚度,凍結時間增加率要比改變厚度的速率上升得還快。
13.6kg罐裝液蛋或水果需要48~72h才完全凍結,0.21m 桶裝的果汁,除非在果汁裝桶之前先通過熱交換器加以半融凍結,否則凍結時間要一個星期以上。

