簡介
共焦干涉儀是一種高解析度的光譜分析儀器。它特別適合分析雷射輸出模譜結構,監控單頻雷射輸出和探測鎖相效應,也可用來分析光譜線輪廓、超精細結構和同位素位移;它還可用作可調諧的窄帶通濾波器等。
1958年,法國人柯勒斯(Connes)根據多光束的干涉原理,提出了一種共焦球面干涉儀。到了二十世紀60年代,這種共焦系統廣泛用作雷射器諧振腔。同時由於雷射科學的發展,迫切需要對雷射器的輸出光譜特性進行分析,於是在共焦球面干涉儀的基礎上發展了一種球面掃描干涉儀,這種干涉儀用壓電陶瓷作為掃描元件或用氣壓進行掃描。
工作原理
共焦干涉儀最大透過率的頻率就是干涉儀的共振頻率,它決定於相鄰相干光束的光程差。光程差正比於共振腔腔長,因而干涉儀透過波長是腔長的線性函式。若線性地改變腔長就可對波長進行線性掃描。干涉儀的透過光經光電轉換,光源的頻譜分布則可直接顯示在示波器的螢光屏上或記錄器上。
共焦干涉儀
共焦干涉儀共焦干涉儀是一個無源腔,由兩塊球形凹面反射鏡構成,兩塊鏡的曲率半徑和腔長相等(即 ,構成共焦腔)。反射鏡一塊固定不動,另一塊固定在可隨外電壓變化而變化的壓電陶瓷環上。如圖所示,由低膨脹係數材料製成的間隔圈,用以保持兩球凹面反射鏡 總處於共焦狀態。壓電陶瓷環的特點是,當在環的內壁上加一定數值的電壓時,環的長度將會隨之發生變化,且長度的變化與外加電壓的幅度成線性關係,由於長度變化很小,僅為波長數量級,所以它不會改變腔的共焦狀態。
共焦干涉儀當一束波長為 λ的光近軸入射到干涉儀內時,在忽略球差的條件下,在共焦腔中經四次反射走一閉合路徑,光程近似為 ,如圖
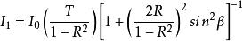
共焦干涉儀內部光路圖光在腔內每走一個周期都會有部分光從鏡面透射出去,一束光將有1、1'兩組透射光,若 m是光線在腔內往返的次數,則1組經歷了4 m次反射後,1'組經歷了4 m+2次反射. 設反射鏡的反射率為 R,透射係為 T,1、1’兩組透光強分別為
共焦干涉儀
共焦干涉儀
共焦干涉儀式中 是入射光強, β是往返一次所形成的位相差,即
共焦干涉儀u為腔內介質的折射率。
當 β=kπ( k為任意整數)時即 4uL=kλ,此時透射率有極大值。
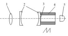
共焦干涉儀腔體結構
共焦干涉儀2—反射鏡,3—針孔光欄,4—壓電陶瓷,5—光電接收放大器。
與通常的平面法珀干涉儀相比有如下優點:
(1)衍射損失小几個數量級;
(2)對反射鏡光圈的要求大大降低;
(3)對反射鏡平行性調整公差要求較低;
(4)與入射光束準直比較容易,可有較大的接收角。
共焦干涉儀與一般球面干涉儀相比主要優點是“模簡併”,與一般干涉儀不同,它並不需要與入射雷射束進行模匹配,它甚至不需要精確與入射雷射束同軸,而處於微離軸照明還避免了對雷射器的反饋效應。
技術參數
儀器的頻寬
共焦干涉儀儀器的頻寬 是指干涉儀透射峰的頻率寬度,也是干涉儀能分辨的最小頻差,通常反射鏡的反射率越高、調整精度越高、腔內損耗越小、則頻寬越窄. 為了分辨相隔很近的譜線. 要求干涉儀有足夠窄的頻寬.
精細常數
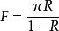
精細常數是用來表征掃描干涉儀分辨本領的參數,它的定義是:自由光譜範圍與最小分辨極限之比,即在自由光譜範圍內能分辨的最多的譜線數目,精細常數的理論公式為
共焦干涉儀式中 R為凹面鏡的反射率, F只與鏡片的反射率有關。實際上精細常數還與共焦腔調整精度、鏡片加工精度以及掃描干涉儀的入射和出射光孔等因素有關。所以在實際套用中, F經常是由實驗來確定的。根據精細常數的定義
共焦干涉儀
共焦干涉儀
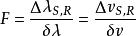
共焦干涉儀式中 是干涉儀所能分辨出的最小波長差, 是干涉儀所能分辨出的最小頻差,實驗中就是一個模的半值寬度,從展開的模譜中我們可以測出 F的大小。
用途
(1)高解析度雷射光譜測量
(2)雷射器模式檢測與控制
(3)單模雷射器生產與檢測
(4)超聲振動探測(無損檢測)
(5)雷射陀螺生產與檢測
(6)超高頻時鐘信號提取/恢復(光纖通信)
(7)穩頻器
(8)鑒頻器
(9)濾波器
