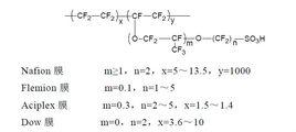
全氟磺酸質子交換膜是目前質子交換膜燃料電池研製與開發中套用最多的質子交換膜,具有優良的導電性能和其他一系列優點。雖然價格高,但它的綜合性能目前還是其他膜材料所無法比擬的。除了杜邦公司的Nafion膜以外,其他一些公司也開發了類似的產品,如美國Dow化學公司的Dow膜、日本Asahi Chemical公司的Aciplex膜和Asahi Glass公司的Flemion膜。
資料來源:www.bestpem.com

全氟磺酸質子交換膜是一種固體聚合物電解質,具有化學穩定性和熱穩定性好、電壓降低、電導率高、機械強度高等優點,可在強酸、強鹼、強氧化劑介質和高溫等苛刻條件下使用,由於其自身所具有的上述特性,全氟磺酸質子交換膜不但被用作質子交換膜燃料電池的關鍵組件,而且還廣泛地套用於氯鹼工業、水電解制氫、電化學合成以及氣體感測器等領域。
全氟磺酸質子交換膜是目前質子交換膜燃料電池研製與開發中套用最多的質子交換膜,具有優良的導電性能和其他一系列優點。雖然價格高,但它的綜合性能目前還是其他膜材料所無法比擬的。除了杜邦公司的Nafion膜以外,其他一些公司也開發了類似的產品,如美國Dow化學公司的Dow膜、日本Asahi Chemical公司的Aciplex膜和Asahi Glass公司的Flemion膜。
資料來源:www.bestpem.com
質子交換膜(Proton Exchange Membrane,PEM)是質子交換膜燃料電池(Proton Exchange Membrane Fuel ...
特性 分類 套用 製作方法質子交換膜燃料電池(proton exchange membrane fuel cell,英文簡稱PEMFC)是一種燃料電池,在原理上相當於水電解的“逆...
概述 工作原理 優點 套用 發展概況科潤膜材料有限公司位於江蘇省淮安市,公司擁有江蘇淮安市和安徽天長市兩個生產基地和一個位於北京的研發中心。
簡介 產品列表全釩液流電池是一種以釩為活性物質呈循環流動液態的氧化還原電池。釩電池電能以化學能的方式存儲在不同價態釩離子的硫酸電解液中,通過外接泵把電解液壓入電池堆體...
簡介 關鍵材料 特點 全釩液流電池的劣勢 釩電池市場前景離子交換膜燃料電池是氫離子交換膜的低溫型水介質氫/氧燃料電池。
被分離出來,失去電子的氫離子(質子)穿過質子交換膜,到達燃料電池陰極板(正極),而電子是不能通過質子交換膜的,這個電子,只能經外部電路,到達燃料電池...,飛機內安裝了質子交換膜燃料電池和鋰離子電池。小型飛機翼展16.3米,機...
來源發展 發電原理 存在優勢 套用領域 汽車套用等,但PEMFC中所使用的基本上都是全氟磺酸型質子交換膜。該膜適用於以氫為燃料...。已經開發的質子交換膜有一二十種,如高氟磺酸膜、輻射接枝膜、非高氟化物...的一個主要問題是甲醇從陽極到陰極的滲透問題,這在典型套用的全氟磺酸質子交換...
原理 研究熱點 存在問題 發展前景離子交換膜特性388523全氟磺酸膜的結構模型及質子傳遞389524質子交換膜的性能表征391525全氟磺酸質子交換膜399...全氟磺酸質子交換膜的回收和利用422參考文獻423 ...
的質子交換膜為全氟磺酸膜,該膜用於DMFC的主要缺點是醇類經電遷移和擴散由...原理直接甲醇燃料電池是質子交換膜燃料電池的一種變種,它直接使用甲醇而勿需預先重整。甲醇在陽極轉換成二氧化碳,質子和電子,如同標準的質子交換膜...
原理 優勢 缺陷 技術困難 研究進展