定義
考慮在球坐標系下的史瓦西度規
克魯斯卡爾坐標系其中
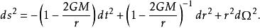
克魯斯卡爾坐標系
克魯斯卡爾坐標系是二維球面的線元。
將時間坐標t和徑向坐標 做如下代換:
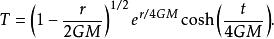
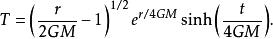
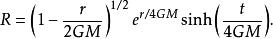
對於視界外部 r>2GM的區域,
克魯斯卡爾坐標系
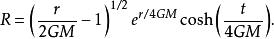
克魯斯卡爾坐標系對於視界內部0<r<2GM的區域,
克魯斯卡爾坐標系
克魯斯卡爾坐標系在這些坐標下,史瓦西度規由下式給出:
克魯斯卡爾坐標系其中r的定義被隱含在
克魯斯卡爾坐標系或等價於
克魯斯卡爾坐標系其中W是朗伯W函式。
克魯斯卡爾坐標系這組由構成的坐標系稱作Kruskal坐標系,有時也稱作Kruskal-Szekeres坐標系。
Kruskal圖
Kruskal坐標的性質
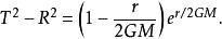
史瓦西黑洞的視界位於r=2GM,此時
克魯斯卡爾坐標系
克魯斯卡爾坐標系
克魯斯卡爾坐標系的右面為零,從而有。即史瓦西黑洞的視界在T-R平面上是兩條45°的對角線。對於一般的常數r,可以得到。即它們是T-R平面上的一組雙曲線。
克魯斯卡爾坐標系
克魯斯卡爾坐標系
克魯斯卡爾坐標系
克魯斯卡爾坐標系
克魯斯卡爾坐標系
克魯斯卡爾坐標系對於一般的常數 t,。它們是通過原點的斜率為的直線。注意到當時,從而等價於的情形。這表明和r=2GM描述的是同一個面。
Kruskal圖
圖1.Kruskal圖Kruskal圖上的每一點都代表了一個二維球面。從圖中可以看到:
徑向坐標 r可以從正無窮大連續變化到零,中間經過視界r=2GM。其中經過R軸的雙曲線對應著r>2GM的情形,經過T軸的雙曲線對應著 r<2GM的情形,雙曲線的兩條漸近線對應著r=2GM的視界。 r=0對應著黑洞的奇點,而在那以外的部分時間和空間坐標都沒有定義。
時間坐標t可以從負無窮大連續變化到正無窮大,其範圍涵蓋了兩條漸近線(兩條45°的對角線)所夾的包含R軸的部分,即在這範圍內通過原點的所有直線。R軸對應著時間坐標t=0的直線。
在Kruskal坐標下,R具有從負無窮大到正無窮大的連續定義,T也一樣,但兩者在灰色區域仍然沒有定義。
參見
•史瓦西度規
•彭羅斯圖
