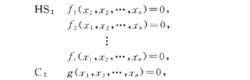
用代數方法證明幾何定理,首先是由笛卡兒(Descartes , R.)於1637年提出的.後來希爾伯特(Hilbert, D.)又向前推進了一步,把這種方法對某一類命題算法化,從而開創了真正能用機械步驟推出一批幾何定理的局面.代數方法本質上屬於一類一證的方法,它適用於假設和結論能夠用代數恆等式或代數不等式表達的命題的判定.通常,用HS記假設條件,C記命題的結論,f},fZ,...,f,} g記關於變元二,,二2,…,二。的多項式.如果
代數方法則命題HS}C的判定問題已被解決.代數方法是定理機器證明領域中20世紀70年代至80年代獲得最成功的方法.
