簡併壓力簡介
簡併壓力(Degeneracy pressure)是指有一些粒子(例如電子、中子、質子等)具有排它性,它們不能占據空間中的同一個位置。依據是量子力學(Quantum Mechanics)的泡利不相容原理(Pauli's exclusion principle)。簡單來說,有一些粒子(比如電子、中子、質子等)是有排它性的,它們不能占據空間中的同一個位置,就好像一群頑皮小孩,你要他們靠在一起,他們總會推推撞撞,要把旁邊的小孩趕得遠遠的,要他們靠得越近,要用的力量也越大,這種粒子間的相互排斥力,便稱為簡併壓力。
白矮星
中子簡併壓力在恆星質量小於錢德拉塞卡極限(Chandrasekhar Limit)即1.44倍的太陽質量時,當恆星垂死時,由於內部沒有燃料產生足夠的輻射壓力來抵消自身的引力時那么自身就會發生引力坍縮(Gravitation al collapse),此時電子簡併壓力(Electron degeneracy pressure)能支撐起自身的重量,於是最終形成白矮星(White dwarf)。
當恆星的質量大於1.44倍太陽質量小於3.2倍太陽質量時,如果發生引力坍縮,那么連電子簡併壓力(Electron degeneracy pressure)也不足以支撐起恆星自身的重量,電子被迫壓縮和核內質子合併成中子,直到中子之間產生的中子簡併壓力(Neutron degeneracy pressure)能支撐起自身的重量,形成中子星(Neutron star)。
中子簡併壓力若恆星質量再大,達到3.2倍以上的太陽質量,於是連中子簡併壓力(Neutron degeneracy pressure)也不能支撐恆星自身的重量,到這時,自然界已再沒有自然力量可和引力抗衡,物質只能無限塌縮,於是就坍縮成夸克星或者是黑洞(Black hole)。
中子簡併壓力是由泡利不相容原理產生的。在恆星物理中,它造就了中子星的存在。
簡併壓力不是“力”,它是交換相互作用(Exchange interaction),但它和我們平常說的四大基本力的相互作用完全是兩碼事,它並不需要交換媒介粒子。交換相互作用只發生在全同粒子之間,本質上是一種波函式的干涉效應,不涉及任何“力”。它類似於分子熱運動,溫度升高時,分子熱運動加劇,物體體積增大,這時我們並不能認為是某種力使該物體體積增大。所以我們可以將電子簡併壓力想像為由“電子熱運動”產生的“電子氣壓”。
氣壓是由大量分子碰撞產生的統計性質,公式為
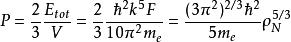
中子簡併壓力能量 E 是氣體分子的內能
中子簡併壓力簡併壓是疊加在氣壓上面的效果,壓力公式一樣,區別在於 E 是粒子的費米動能
中子簡併壓力
中子簡併壓力,
因此電子簡併壓力是:
中子簡併壓力中子簡併壓力也於此同理。
中子簡併壓力簡併中子壓力之-內部結構模型圖
補充說明
中子簡併壓力並不像是經典力學裡面所說的一種力。費米子遵循泡利不相容原理,但玻色子無此限制,粒子出現的機率幅的演化遵從薛丁格方程,拋棄“力場”的概念,交換媒介粒子傳遞相互作用,在泡利不相容原理中並沒有所謂的“力”,這裡有一個概念叫交換相互作用(Exchange interaction),但它和我們平常說的四大基本力的相互作用完全是兩碼事,它並不需要交換媒介粒子。交換相互作用只發生在全同粒子之間,本質上是一種波函式的干涉效應,不涉及任何“力”。一個量子態上只能容納一個費米子,它就是量子力學的“性質”,也可理解為就是“兩個粒子處於同一個量子態的機率為零”。
