簡介
【英文名稱】 Dacarbazine
【其他名稱】 達卡巴嗪檸檬酸鹽,達卡比嗪,氨烯咪胺,氮烯唑胺,枸櫞酸達卡巴嗪,枸櫞酸氮烯咪胺,甲氮咪胺,甲嗪咪唑胺,卡達巴抗黑瘤,抗黑瘤素,三氯烯咪唑胺,三嗪咪唑,三嗪咪唑胺,Biocarbazine-R,Da-c
【適應證】適用於黑色素瘤、軟組織腫瘤、惡性淋巴瘤等。
【藥品分類】抗腫瘤藥-其他抗腫瘤藥與治療腫瘤輔助藥-達卡巴嗪
成分
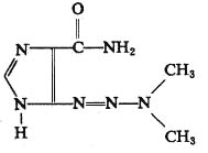
【成份】達卡巴嗪。化學名稱:5-(3,3-二甲基-1-三氮烯)-咪唑-4-甲醯胺枸櫞酸鹽。
【性狀】本品為類白色或略帶微紅色的疏鬆塊狀物或粉末。
結構式 英文別名:5-(3,3-Dimethyl-1-triazenyl)imidazole-4-carboxamide; 4-(3,3-Dimethyltriazeno)imidazole-5-carboxamide; 4-(Dimethyltriazeno)imidazole-5-carboxamide
CAS號:4342-03-4
分子式:C6H10N6O
分子量:182.18
結構式:
【貯藏】 5℃以下密閉避光保存。
安全術語
S26 In case of contact with eyes, rinse immediately with plenty of water and seek medical advice.
不慎與眼睛接觸後,請立即用大量清水沖洗並徵求醫生意見。
S36 Wear suitable protective clothing.
穿戴適當的防護服。
S45 In case of accident or if you feel unwell, seek medical advice immediately (show the label whenever possible.)
若發生事故或感不適,立即就醫(可能的話,出示其標籤)。
S53 Avoid exposure - obtain special instructions before use.
避免接觸,使用前須獲得特別指示說明。
S36/37/39 Wear suitable protective clothing, gloves and eye/face protection.
穿戴適當的防護服、手套和護目鏡或面具。
S37/39 Wear suitable gloves and eye/face protection
戴適當的手套和護目鏡或面具。
風險術語
R45 May cause cancer.
可能致癌。
R46 May cause heritable genetic damage.
可能引起遺傳性基因損害。
R20/21/22 Harmful by inhalation, in contact with skin and if swallowed.
吸入、皮膚接觸及吞食有害。
R36/37/38 Irritating to eyes, respiratory system and skin.
刺激眼睛、呼吸系統和皮膚。
套用
【給藥說明】
1.靜脈注射時如漏至血管外,應立即停止注射,並以1%普魯卡因注射液局封。
2.用藥期間應避免口服脊髓灰質炎疫苗。
【用法與用量】
1.靜脈注射:一次200~400mg,連用3~5日,用氯化鈉注射液溶解後靜脈推注,也可用5%葡萄糖注射液250ml稀釋後靜脈滴注。
2.聯合化療:①ABVD(多柔比星、博來黴素、長春鹼和達卡巴嗪),主要用於霍奇金型淋巴瘤;②CY-VA-DIC(環磷醯胺、長春鹼、多柔比星及達卡巴嗪)主要用於軟組織肉瘤。
【製劑與規格】注射用枸櫞酸達卡巴嗪:200mg。
【藥物相互作用】本品與其他對骨髓有抑制的藥物或放射聯合套用時,應減少本品的劑量。
【藥動力學】一次靜脈注射後30分鐘,血漿中濃度達最高峰。血漿中消失呈二室模型,t1/2a為19分,t1/2B為5小時。在0~6小時內由尿中排出45%(50%為原形藥,50%為代謝藥)。不能通過血腦屏障。
【藥理毒理】
分子結構 1、藥理
本品為嘌呤生物合成的前體,能幹擾嘌呤的生物合成,進入體內後由肝微粒體去甲基形成單甲基化合物,具有直接細胞毒作用。
主要作用於G2期。抑制嘌呤、RNA和蛋白質的合成,也影響DNA的合成,所以也有人認為是一種烷化劑。
2、毒理
實驗結果表明,本品對小鼠腹腔注射之急性致死量(LD50)為815mg/kg±50.9mg/kg。
【不良反應】
1.骨髓抑制,白細胞減少發生於給藥後16~20日,白細胞最低見於給藥後21~25日,血小板減少發生於給藥後16日。
2.胃腸道反應較常見,有食欲不振、噁心、嘔吐,一般發生於給藥後1~12小時,偶有黏膜炎。
3.偶有流感樣綜合徵,發生於給藥後7日,持續1~3周。也可有面部麻木、脫髮。
【禁忌證】
1.孕婦禁用。
2.水痘或帶狀皰疹患者及有嚴重過敏史者禁用。
注意事項
貯藏 1.用藥期間應停止哺乳。2.對診斷的干擾:使用本品時可引起血清尿素氮、鹼性磷酸酶、丙氨酸氨基轉移酶及門冬氨酸氨基轉移酶暫時性升高。
3.用藥期間禁止活病毒疫苗接種。
4.肝腎功能損害、感染患者慎用本品。
5.用藥期間應定期檢查血尿素氮、肌酐、尿酸、血清膽紅素、丙氨酸氨基轉移酶、門冬氨酸氨基轉移酶、乳酸脫氫酶。
6 因本品對光和熱極不穩定、遇光或熱易變紅,在水中不穩定,放置後溶液變淺紅色。需臨時配製,溶解後立即注射。並儘量避光。
7 靜脈滴注速度不宜太快。
8 防止藥物外漏,避免對局部組織刺激。

