簡介
δ式函式列是以δ函式為極限的局部可積函式列。
設{f}是R 上一列局部可積函式,而且按廣義函式空間K'中的弱∗拓撲,f→δ(n→∞),其中δ是狄喇克δ函式,則稱{f}是δ式函式列。
δ函式
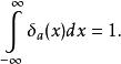
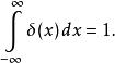
狄喇克δ函式是一個廣義函式,在物理學中常用其表示質點、點電荷等理想模型的密度分布,該函式在除了零以外的點取值都等於零,而其在整個定義域上的積分等於1。
為了在數學上理想地表示,引入了δ函式的概念。用數學表示為:
δ式函式列
δ式函式列 上述表達式不規定δ函式在0點的取值,是因為這個值無法嚴謹地表述出來,不能籠統的定義為正無窮,並且函式取值的“大小”是由第二個積分式決定的,因此只需限定取值為零的區域即可。如果函式不在0點取非零值,而在其他地方,可定義
δ式函式列
δ式函式列 局部可積函式
(locally integrable function)
局部可積函式是在任何有界集上可積的可測函式。
設f是n維歐幾里得空間R 上的可測函式,如果對任何有界可測集M,f在M上勒貝格可積,則稱f是局部可積函式。
