用處
小寫δ
用於:
①共價鍵中的δ鍵( delta bond)
由兩個d軌道四重交蓋而形成的共價鍵稱為δ鍵,可簡記為“面對面”
δ鍵只有兩個節面(電子云密度為零的平面)。從鍵軸看去,δ鍵的軌道對稱性與d軌道的沒有區別,而希臘字母δ也正來源於d軌道。
δ鍵常出現在有機金屬化合物中,尤其是釕、鉬和錸所形成的化合物。通常所說的“四重鍵”指的就是一個σ鍵、兩個π鍵和一個δ鍵。
②表示帶電:δ 表示帶負電,δ 表示帶正電
③數學中兩個函式的名稱:
克羅內克δ函式 (Kronecker delta)
狄拉克δ函式
校對中,刪除的記號
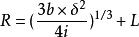
④隨機模型(米勒—奧爾模型)
回歸線的確定
表示公司每日現金流變動的標準差
δ[第四個希臘字母小寫形式δ] 式中:b——證券轉換為現金或現金轉換為證券的成本;
δ——delta,公司每日現金流變動的標準差;
i=以日為基礎計算的現金機會成本。
⑤在家具製圖中,用來表示剖面厚度,
如膠合板剖面厚度為3mm,可標記為膠合板δ3
如δ3=3.2mm,表示剖面厚度為3.2mm。
大寫Δ
用於:
在數學和科學,表示變數的變化
在數學中,在回歸分析中,測定值(真實值或準確值)與按回歸方程預測的值之差
Δ在一元二次方程ax +bx+c=0(a≠0)或二次 函式y=ax +bx+c(a≠0)中代表b -4ac,在方程中,若Δ≥0,則方程有實數解(若Δ>0,則方程有兩個不相等的實數解;若Δ=0,則方程有兩個相等的實數解),若Δ>0,則圖像與x軸有兩個交點;若Δ=0,則圖像與x軸只有一個交點;若Δ
![δ[第四個希臘字母小寫形式δ] δ[第四個希臘字母小寫形式δ]](/img/2/b70/nBnauM3XxMDMwkjN0ATN0ETN1UTM1QDN5MjM5ADMwAjMwUzLwUzLzEzLt92YucmbvRWdo5Cd0FmLwE2LvoDc0RHa.jpg)
